版块导航
正在加载中...
客户端APP下载
论文辅导
申博辅导
登录
注册
帖子
帖子
用户
本版
应《网络安全法》要求,自2017年10月1日起,未进行实名认证将不得使用互联网跟帖服务。为保障您的帐号能够正常使用,请尽快对帐号进行手机号验证,感谢您的理解与支持!
24小时热门版块排行榜
>
论坛更新日志
(3602)
>
虫友互识
(371)
>
文献求助
(362)
>
导师招生
(252)
>
考博
(90)
>
招聘信息布告栏
(88)
>
论文投稿
(83)
>
博后之家
(68)
>
硕博家园
(68)
>
休闲灌水
(61)
>
绿色求助(高悬赏)
(38)
>
SciFinder/Reaxys
(32)
>
考研
(32)
>
基金申请
(31)
>
科研资料
(25)
>
外文书籍求助
(25)
小木虫论坛-学术科研互动平台
»
计算模拟区
»
程序语言
»
Fortran
»
调用lapack函数库中zgeev函数
3
1/1
返回列表
查看: 2480 | 回复: 2
只看楼主
@他人
存档
新回复提醒
(忽略)
收藏
在APP中查看
嗨王and娜娜
木虫
(正式写手)
博士
应助: 110
(高中生)
金币: 5888.3
红花: 11
帖子: 786
在线: 185.7小时
虫号: 2742524
注册: 2013-10-21
性别: GG
专业: 凝聚态物性 II :电子结构
[交流]
调用lapack函数库中zgeev函数
已有2人参与
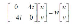
怎么调用lapack函数库中zgeev函数,最好是能写一个例子。比如算图片中的本征值。
H}1]K2F[6{@%D{8ZWA{3UBY.jpg
回复此楼
» 猜你喜欢
实验室接单子
已经有4人回复
全日制(定向)博士
已经有4人回复
假如你的研究生提出不合理要求
已经有6人回复
对氯苯硼酸纯化
已经有3人回复
求助:我三月中下旬出站,青基依托单位怎么办?
已经有12人回复
不自信的我
已经有12人回复
所感
已经有4人回复
论文终于录用啦!满足毕业条件了
已经有28人回复
要不要辞职读博?
已经有7人回复
北核录用
已经有3人回复
高级回复
» 本主题相关价值贴推荐,对您同样有帮助:
vasp结构优化报错LAPACK: Routine ZPOTRF failed! ,求助
已经有3人回复
win7中调用lapack相关问题
已经有5人回复
安装LAPACK出错,该怎么办
已经有3人回复
linuix系统中lapack的使用【转载】
已经有4人回复
怎么找出lapack函数及函数的使用方法
已经有8人回复
求大神,求候博!!HSE加电场报错:LAPACK: Routine ZPOTRF failed! (散尽金币求助)
已经有6人回复
linux安装lapack3.4.2,已经包含mkl函数库了吗
已经有4人回复
矩阵求特征值和特征向量用arpack和lapack哪个好些?
已经有11人回复
PWSCF在哪里设置lapack?再问一句声子谱对角化出错是lapack的问题吗?
已经有4人回复
ubuntu12.04用gfortran调用Lapack95函数库出错。
已经有3人回复
各路英雄请注意。强势推出重磅问题:ScaLAPACK 和LAPACK的差别?
已经有4人回复
求助ifort 调用lapack的问题!
已经有4人回复
vasp计算光学性质时,关于LAPACK: Routine ZPOTRF failed! 错误
已经有3人回复
fortran程序怎样调用lapack库进行矩阵对角化?
已经有7人回复
vasp编译通过,前台算ok,去qsub到后台,找不到libmkl_lapack.so
已经有19人回复
【求助】LAPACK: Routine ZPOTRF failed!
已经有5人回复
【分享】MKL程序编译与连接:Lapack篇
已经有6人回复
【求助】如何学习FORTRAN的LAPACK?
已经有4人回复
【求助】linux下lapack库编译测试错误
已经有3人回复
努力学习!
1楼
2013-12-10 08:53:43
已阅
回复此楼
关注TA
给TA发消息
送TA红花
TA的回帖
fish.yfyh
铜虫
(小有名气)
应助: 42
(小学生)
金币: 607.9
红花: 4
帖子: 108
在线: 35.9小时
虫号: 2867094
注册: 2013-12-12
专业: 化学生物学与生物有机化学
★
小木虫: 金币+0.5, 给个红包,谢谢回帖
我曾经调用过Lapack的LU分解求矩阵逆,这个也应该比较简单的。
赞
一下
回复此楼
2楼
2013-12-12 21:19:18
已阅
回复此楼
关注TA
给TA发消息
送TA红花
TA的回帖
virtualzx
木虫
(著名写手)
应助: 263
(大学生)
金币: 7161.3
红花: 54
帖子: 1605
在线: 317.6小时
虫号: 2069080
注册: 2012-10-18
性别: GG
专业: 理论和计算化学
★
小木虫: 金币+0.5, 给个红包,谢谢回帖
看这里
http://software.intel.com/sites/ ... _examples/zgeev.htm
赞
一下
回复此楼
3楼
2013-12-13 05:08:52
已阅
回复此楼
关注TA
给TA发消息
送TA红花
TA的回帖
相关版块跳转
第一性原理
量子化学
计算模拟
分子模拟
仿真模拟
程序语言
我要订阅楼主
嗨王and娜娜
的主题更新
3
1/1
返回列表
如果回帖内容含有宣传信息,请如实选中。否则帐号将被全论坛禁言
普通表情
龙
兔
虎
猫
高级回复
(可上传附件)
百度网盘
|
360云盘
|
千易网盘
|
华为网盘
在新窗口页面中打开自己喜欢的网盘网站,将文件上传后,然后将下载链接复制到帖子内容中就可以了。
信息提示
关闭
请填处理意见
关闭
确定