| ²é¿´: 639 | »Ø¸´: 4 | ||
Ì·ÇïÔªÌú³æ (ÕýʽдÊÖ)
|
[ÇóÖú]
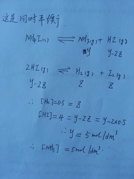
»¯Ñ§Æ½ºâ
|
|
|
|
||
yulei0627ľ³æ (ÖªÃû×÷¼Ò)
|
¡¾´ð°¸¡¿Ó¦Öú»ØÌû
¡ï ¡ï ¡ï ¡ï ¡ï ¡ï
¸Ðл²ÎÓ룬ӦÖúÖ¸Êý +1 Ì·ÇïÔª(m0378´ú·¢): ½ð±Ò+1, ²»¹Ü¶Ô²»¶Ô£¬Ó¦¸Ã¸øÐÁ¿à·Ñ 2013-12-08 19:20:18 Ì·ÇïÔª: ½ð±Ò+5, ¡ï¡ï¡ï¡ï¡ï×î¼Ñ´ð°¸ 2013-12-08 22:58:15
|
|
|
2Â¥2013-12-07 23:42:08
|
|
|
Ì·ÇïÔªÌú³æ (ÕýʽдÊÖ)
|
||
|
3Â¥2013-12-08 12:37:53
|
|
|
yulei0627ľ³æ (ÖªÃû×÷¼Ò)
|
||
|
4Â¥2013-12-08 15:22:22
|
|
|
zqxcyjľ³æ (ÖøÃûдÊÖ)
|
¡¾´ð°¸¡¿Ó¦Öú»ØÌû
¡ï ¡ï ¡ï ¡ï
¸Ðл²ÎÓ룬ӦÖúÖ¸Êý +1 Ì·ÇïÔª: ½ð±Ò+4, ¡ï¡ï¡ïºÜÓаïÖú 2013-12-08 22:58:05 |
|
|
5Â¥2013-12-08 16:27:22
|
|














»Ø¸´´ËÂ¥