| 查看: 2686 | 回复: 22 | ||
公瑾木虫 (正式写手)
|
[求助]
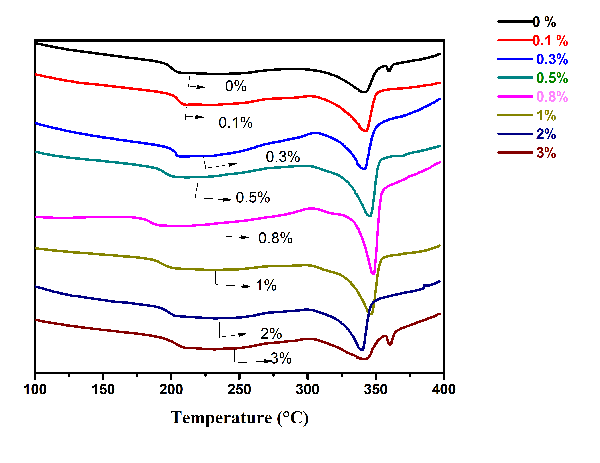
玻璃化转变温度和熔融温度会随着结晶度的提高发生什么变化?
|
|
|
玻璃化转变温度和熔融温度会随着结晶度的提高怎么改变?原因 [ 发自手机版 http://muchong.com/3g ] |
» 猜你喜欢
285求调剂
已经有5人回复
生物学求调剂
已经有4人回复
0854求调剂
已经有3人回复
319分085702安全工程求调剂
已经有4人回复
生物学308分求调剂(一志愿华东师大)
已经有6人回复
085600材料与化工301分求调剂院校
已经有14人回复
0703化学调剂325分
已经有12人回复
求助071001调剂!!!
已经有5人回复
工科370求调剂
已经有3人回复
材料专硕322
已经有10人回复
» 本主题相关价值贴推荐,对您同样有帮助:
测试PMMA玻璃化转变温度升温消除热历史 升温温度如何判定?
已经有7人回复
玻璃化转变温度查询
已经有5人回复
玻璃化转变温度和XRD结果不一致
已经有24人回复
Tg玻璃化转变温度
已经有6人回复
怎样估算玻璃化转变温度
已经有14人回复
玻璃化转变温度和熔点
已经有12人回复
丙烯酸酯单体(也包括其它一些常用单体的)玻璃化转变温度汇总
已经有391人回复
求高手分析下这个图中的玻璃化转变温度在那个区域
已经有7人回复
熔融温度和结晶度的关系
已经有14人回复
一种物质的玻璃化转变温度会不会高于他的熔融分解温度?
已经有15人回复
DSC曲线怎么判断玻璃化转变温度,非常急,求助
已经有8人回复
玻璃化转变温度与熔点
已经有9人回复
关于玻璃化转变温度
已经有5人回复
【求助】玻璃化转变温度的识别
已经有20人回复
【求助】聚丙烯的玻璃化转变温度是多少啊?
已经有15人回复
【求助】玻璃化转变温度和α松弛峰温度是否是一致?
已经有5人回复
【求助】怎么分析DSC曲线中的熔融转变温度、玻璃化转变温度和结晶度?
已经有37人回复
【求助】请问:高聚物的玻璃化温度与结晶度,二者间有关系么?
已经有9人回复
【求助】新手求助:硅树脂有结晶度和玻璃化温度吗
已经有3人回复
公瑾
木虫 (正式写手)
- 应助: 14 (小学生)
- 金币: 1601.4
- 散金: 204
- 红花: 1
- 帖子: 494
- 在线: 164.1小时
- 虫号: 2623435
- 注册: 2013-08-29
- 性别: GG
- 专业: 功能与智能高分子
8楼2013-12-08 16:19:01
4楼2013-12-08 11:45:05
6楼2013-12-08 15:29:43
公瑾
木虫 (正式写手)
- 应助: 14 (小学生)
- 金币: 1601.4
- 散金: 204
- 红花: 1
- 帖子: 494
- 在线: 164.1小时
- 虫号: 2623435
- 注册: 2013-08-29
- 性别: GG
- 专业: 功能与智能高分子
2楼2013-12-07 20:24:18
公瑾
木虫 (正式写手)
- 应助: 14 (小学生)
- 金币: 1601.4
- 散金: 204
- 红花: 1
- 帖子: 494
- 在线: 164.1小时
- 虫号: 2623435
- 注册: 2013-08-29
- 性别: GG
- 专业: 功能与智能高分子
3楼2013-12-07 23:25:17
公瑾
木虫 (正式写手)
- 应助: 14 (小学生)
- 金币: 1601.4
- 散金: 204
- 红花: 1
- 帖子: 494
- 在线: 164.1小时
- 虫号: 2623435
- 注册: 2013-08-29
- 性别: GG
- 专业: 功能与智能高分子
5楼2013-12-08 13:24:23
公瑾
木虫 (正式写手)
- 应助: 14 (小学生)
- 金币: 1601.4
- 散金: 204
- 红花: 1
- 帖子: 494
- 在线: 164.1小时
- 虫号: 2623435
- 注册: 2013-08-29
- 性别: GG
- 专业: 功能与智能高分子
7楼2013-12-08 16:11:55
yangguang01
金虫 (知名作家)
可降解塑料专家
- 应助: 599 (博士)
- 贵宾: 0.065
- 金币: 1271.9
- 散金: 1139
- 红花: 20
- 帖子: 5010
- 在线: 499.7小时
- 虫号: 429209
- 注册: 2007-08-04
- 性别: GG
- 专业: 高分子物理与高分子物理化
- 管辖: 高分子
9楼2013-12-08 17:21:55
10楼2013-12-08 18:10:42














回复此楼