版块导航
正在加载中...
客户端APP下载
论文辅导
申博辅导
登录
注册
帖子
帖子
用户
本版
应《网络安全法》要求,自2017年10月1日起,未进行实名认证将不得使用互联网跟帖服务。为保障您的帐号能够正常使用,请尽快对帐号进行手机号验证,感谢您的理解与支持!
24小时热门版块排行榜
>
论坛更新日志
(3263)
>
虫友互识
(305)
>
文献求助
(193)
>
导师招生
(190)
>
硕博家园
(100)
>
公派出国
(88)
>
考博
(84)
>
找工作
(71)
>
博后之家
(68)
>
论文投稿
(66)
>
基金申请
(62)
>
论文道贺祈福
(60)
>
考研
(60)
>
休闲灌水
(59)
>
教师之家
(51)
>
招聘信息布告栏
(37)
小木虫论坛-学术科研互动平台
»
专业学科区
»
物理
»
基础物理
»
紧急求助3道普通物理考研题,非常感谢。
3
1/1
返回列表
查看: 374 | 回复: 2
只看楼主
@他人
存档
新回复提醒
(忽略)
收藏
在APP中查看
小兰花
银虫
(著名写手)
应助: 2
(幼儿园)
金币: 3461.8
散金: 974
红花: 9
帖子: 1927
在线: 935.3小时
虫号: 501372
注册: 2008-02-13
专业: 凝聚态物性I:结构、力学和
[
求助
]
紧急求助3道普通物理考研题,非常感谢。
如下图所示,求助3道普通物理考研题。
请会做的虫友帮帮忙,非常感谢。
求助考研物理题.jpg
回复此楼
» 收录本帖的淘帖专辑推荐
Geonomy
» 猜你喜欢
基金委咋了?2026年的指南还没有出来?
已经有7人回复
国自然申请面上模板最新2026版出了吗?
已经有17人回复
纳米粒子粒径的测量
已经有8人回复
疑惑?
已经有5人回复
计算机、0854电子信息(085401-058412)调剂
已经有5人回复
Materials Today Chemistry审稿周期
已经有5人回复
溴的反应液脱色
已经有7人回复
推荐一本书
已经有12人回复
基金申报
已经有4人回复
常年博士招收(双一流,工科)
已经有4人回复
» 本主题相关商家推荐:
(我也要在这里推广)
» 本主题相关价值贴推荐,对您同样有帮助:
西北大学普通物理考研真题
已经有3人回复
求助大家看看这道题怎么做,电磁学考研真题
已经有8人回复
跪求 考研历年真题 上海大学 物理化学二
已经有12人回复
求助东华大学高分子物理及高分子化学笔记,讲义,PPT和历年真题,急求!!!!!
已经有17人回复
合肥工业大学物理化学考研试题
已经有36人回复
2013中科大普通物理A就这道题有些意思,have a look.
已经有44人回复
急!!一道考研物理化学题,实在不会了,麻烦给位大神帮忙解决下!
已经有9人回复
求助一道物理化学题 2006年北京理工大学考研真题第八题 详细解析
已经有10人回复
湖南师大2001-2010年物理化学考研真题(部分有答案)
已经有53人回复
一道很简单的物理化学题,请大家给我解释一下,谢谢~
已经有14人回复
【1986-2011考研英语真题 MP3 音频集锦】----绝对经典
已经有74人回复
【考研】中科大2011物理考研真题
已经有69人回复
中科院2012分析化学考研真题(简答加计算),物理化学甲回忆版真题
已经有33人回复
【中科院】【普通物理乙】【806】历年真题—附带答案—双手奉献给大家
已经有153人回复
【求助】河北工业大学物理化学考研真题
已经有9人回复
【求助】北科物理化学A历年真题答案详解
已经有5人回复
【求助】求助中科院07年以后825物理化学乙试题及答案
已经有12人回复
【求助】几道物理化学方面的题
已经有3人回复
【求助】求2010上海交大622物理化学真题。
已经有8人回复
1楼
2013-11-30 13:11:19
已阅
回复此楼
关注TA
给TA发消息
送TA红花
TA的回帖
rogerdark
铜虫
(小有名气)
应助: 15
(小学生)
金币: 506.7
红花: 4
帖子: 111
在线: 15.2小时
虫号: 2397002
注册: 2013-04-02
性别: GG
专业: 原子和分子物理
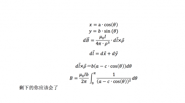
第三个你又没说明是球对称还是神马。。算着算着就出合流超几何方程了肯定不对。所以先给你前两个的思路和大半过程。
答案你自己去算,这点东西只要学过肯定还是会做的。
Screen Shot 2013-11-30 at 5.49.36 PM.png
Screen Shot 2013-11-30 at 5.53.24 PM.png
赞
一下
回复此楼
May the force be with you
2楼
2013-11-30 17:55:36
已阅
回复此楼
关注TA
给TA发消息
送TA红花
TA的回帖
rogerdark
铜虫
(小有名气)
应助: 15
(小学生)
金币: 506.7
红花: 4
帖子: 111
在线: 15.2小时
虫号: 2397002
注册: 2013-04-02
性别: GG
专业: 原子和分子物理
【答案】应助回帖
★ ★ ★ ★ ★ ★ ★ ★ ★ ★ ★ ★
感谢参与,应助指数 +1
小兰花: 金币+12,
★★★★★
最佳答案, 谢谢。
2013-12-18 00:53:47
刚才没摁“确定回帖应助”,补一个。楼上就是我
赞
一下
回复此楼
May the force be with you
3楼
2013-11-30 17:57:05
已阅
回复此楼
关注TA
给TA发消息
送TA红花
TA的回帖
相关版块跳转
数理科学综合
机械
物理
数学
农林
食品
地学
能源
信息科学
土木建筑
航空航天
转基因
我要订阅楼主
小兰花
的主题更新
3
1/1
返回列表
如果回帖内容含有宣传信息,请如实选中。否则帐号将被全论坛禁言
普通表情
龙
兔
虎
猫
百度网盘
|
360云盘
|
千易网盘
|
华为网盘
在新窗口页面中打开自己喜欢的网盘网站,将文件上传后,然后将下载链接复制到帖子内容中就可以了。
信息提示
关闭
请填处理意见
关闭
确定