| ²é¿´: 376 | »Ø¸´: 0 | |||
leiwsÖÁ×ðľ³æ (Ö°Òµ×÷¼Ò)
ľ³æÀË×Ó
|
[½»Á÷]
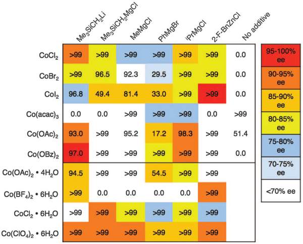
[Science]îÜ»ù´ß»¯£º¸ßͨÁ¿·¨É¸Ñ¡·Ç¶Ô³Æ¼ÓÇâ´ß»¯¼Á
|
|
Title:Cobalt Precursors for High-Throughput Discovery of Base Metal Asymmetric Alkene Hydrogenation Catalysts Max R. Friedfeld,1 Michael Shevlin,2 Jordan M. Hoyt,1 Shane W. Krska,2 Matthew T. Tudge,2 Paul J. Chirik1 Abstract£º Asymmetric hydrogenation of alkenes is one of the most widely used methods for the preparation of single enantiomer compounds, especially in the pharmaceutical and agrochemical industries. For more than four decades, precious metal complexes containing rhodium, iridium, and ruthenium have been predominantly used as catalysts. Here, we report rapid evaluation of libraries of chiral phosphine ligands with a set of simple cobalt precursors. From these studies, base metal precatalysts have been discovered for the hydrogenation of functionalized and unfunctionalized olefins with high enantiomeric excesses, demonstrating the potential utility of more earth-abundant metals in asymmetric hydrogenation. link:http://www.sciencemag.org/content/342/6162/1076[ Last edited by leiws on 2013-11-29 at 11:06 ] |
» ±¾Ìû¸½¼þ×ÊÔ´Áбí
-
»¶Ó¼à¶½ºÍ·´À¡£ºÐ¡Ä¾³æ½öÌṩ½»Á÷ƽ̨£¬²»¶Ô¸ÃÄÚÈݸºÔð¡£
±¾ÄÚÈÝÓÉÓû§×ÔÖ÷·¢²¼£¬Èç¹ûÆäÄÚÈÝÉæ¼°µ½ÖªÊ¶²úȨÎÊÌ⣬ÆäÔðÈÎÔÚÓÚÓû§±¾ÈË£¬Èç¶Ô°æÈ¨ÓÐÒìÒ飬ÇëÁªÏµÓÊÏ䣺xiaomuchong@tal.com - ¸½¼þ 1 : 1076.full.pdf
2013-11-29 10:44:10, 788.08 K
» ²ÂÄãϲ»¶
»´±±Ê¦·¶´óѧ »¯Ñ§Ó뻯¹¤¿ÆÑ§Ñ§Ôº µç´ß»¯¿ÎÌâ×黹ÓÐ1Ãû˶ʿÑо¿ÉúÕÐÉúÃû¶î
ÒѾÓÐ0È˻ظ´
Ó¢ÎÄÆÚ¿¯ÇóÖú
ÒѾÓÐ3È˻ظ´
ÎïÀí»¯Ñ§ÂÛÎÄÈóÉ«/·ÒëÔõôÊÕ·Ñ?
ÒѾÓÐ53È˻ظ´
»¯Ñ§Ïà¹ØË¶Ê¿Ñо¿ÉúÕÐÊÕµ÷¼Á-ºþ±±Ê¦·¶´óѧ £¨¿ìÀ´¼ñ©£¬×îе÷¼ÁÐÅÏ¢£¬¹ý¹ú¼ÒÏß¼´¿É£©
ÒѾÓÐ1È˻ظ´
ºÓÄÏÀí¹¤´óѧ»¯Ñ§»¯¹¤Ñ§ÔºÕÐÊÕѧ˶µ÷¼ÁÉú
ÒѾÓÐ0È˻ظ´
ºÚÁú½¿Æ¼¼´óѧ»¯¹¤ »·¾³¹¤³Ìµ÷¼Á
ÒѾÓÐ22È˻ظ´
ÆÎÌïѧԺ»·¾³ÓëÉúÎ﹤³ÌѧԺ×ÊÔ´Óë»·¾³×¨Ë¶£¨»·¾³¹¤³Ì·½Ïò£© ¿ª·Åµ÷¼ÁÕÐÉú
ÒѾÓÐ13È˻ظ´
Õ㽺£Ñó´óѧʯÓÍ»¯¹¤Óë»·¾³Ñ§ÔºÕÐÊÕ¹¤¿Æµ÷¼ÁÉú£¨Ñ§Ë¶¡¢×¨Ë¶¾ù¿É£¬ÏßÉÏÃæÊÔ£©
ÒѾÓÐ0È˻ظ´
Õ㽺£Ñó´óѧʯÓÍ»¯¹¤Ñ§Ôº½ÓÊÕ¹¤¿Æµ÷¼Á£¨Ñ§Ë¶¡¢×¨Ë¶¾ù¿É£¬½üÆÚÏßÉÏÃæÊÔ£©
ÒѾÓÐ8È˻ظ´
Õ㽺£Ñó´óѧʯÓÍÓëÌìÈ»Æø¹¤³Ìרҵ½ÓÊÕ¹¤¿Æµ÷¼Á£¨13ÈÕÔçÉϽØÖ¹£¬ÏßÉÏÃæÊÔ£©
ÒѾÓÐ0È˻ظ´
¿¼Ñе÷¼Á¡«ºþÄϹ¤³ÌѧԺ²ÄÁÏÓ뻯¹¤Ñ§Ôº
ÒѾÓÐ0È˻ظ´














»Ø¸´´ËÂ¥