| ²é¿´: 1167 | »Ø¸´: 7 | ||
hakunaľ³æ (ÖªÃû×÷¼Ò)
|
[½»Á÷]
ÏÐÀ´ÎÞÊ£¬Íæ¶ùÁ˸öMD£¬µÃµ½ÕâÑùµÄ½á¹ûºÏÀíô ÒÑÓÐ2È˲ÎÓë
|
ChemiAndy
ľ³æ (ÕýʽдÊÖ)
- Ä£ÄâEPI: 40
- Ó¦Öú: 52 (³õÖÐÉú)
- ½ð±Ò: 2573.3
- É¢½ð: 18
- ºì»¨: 104
- Ìû×Ó: 590
- ÔÚÏß: 553.8Сʱ
- ³æºÅ: 836907
- ×¢²á: 2009-08-30
- ÐÔ±ð: GG
- רҵ: ÀíÂۺͼÆË㻯ѧ
2Â¥2013-11-26 04:06:50
hakuna
ľ³æ (ÖªÃû×÷¼Ò)
- Ó¦Öú: 82 (³õÖÐÉú)
- ½ð±Ò: 8735.9
- É¢½ð: 158
- ºì»¨: 126
- Ìû×Ó: 5599
- ÔÚÏß: 1367.2Сʱ
- ³æºÅ: 167622
- ×¢²á: 2006-01-15
- רҵ: ¿¼¹ÅÀíÂÛ
3Â¥2013-11-26 09:13:53
ChemiAndy
ľ³æ (ÕýʽдÊÖ)
- Ä£ÄâEPI: 40
- Ó¦Öú: 52 (³õÖÐÉú)
- ½ð±Ò: 2573.3
- É¢½ð: 18
- ºì»¨: 104
- Ìû×Ó: 590
- ÔÚÏß: 553.8Сʱ
- ³æºÅ: 836907
- ×¢²á: 2009-08-30
- ÐÔ±ð: GG
- רҵ: ÀíÂۺͼÆË㻯ѧ
¡ï ¡ï
Сľ³æ: ½ð±Ò+0.5, ¸ø¸öºì°ü£¬Ð»Ð»»ØÌû
ÔÂÖ»À¶: ½ð±Ò+1, ¹ÄÀø½»Á÷£¡ 2013-11-26 11:28:19
Сľ³æ: ½ð±Ò+0.5, ¸ø¸öºì°ü£¬Ð»Ð»»ØÌû
ÔÂÖ»À¶: ½ð±Ò+1, ¹ÄÀø½»Á÷£¡ 2013-11-26 11:28:19
|
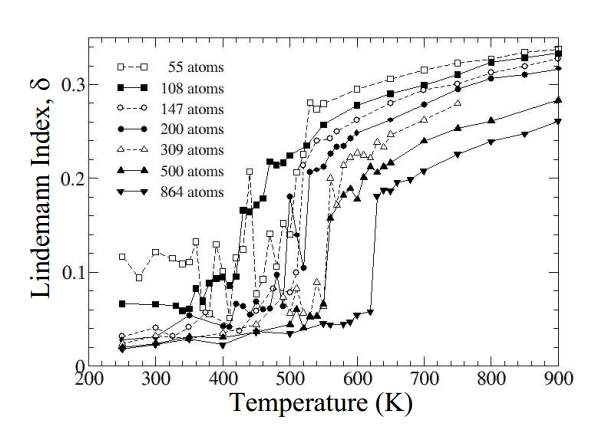
ÌåϵÔÚ¿çÔ½ÄÜÀÝʱ¶¼»áÓÐÄÜÁ¿Ô¾±ä£¬µ«²¢·ÇÒ»¶¨¾ÍÊÇÏà±ä¡£ ¹ÌÌåÈÛ»¯ÐÐΪÓÐ2¸ö¹«Èϵıê×¼£¬ Lindmann ±ê×¼ºÍBorn±ê×¼¡£Ç°ÕßÈÏΪÈÛ»¯µ¼ÖÂÔ×Ó¼äÕñ¶¯³¬¹ýÒ»¶¨µÄ·ù¶È£»ºóÕßÈÏΪÈÛ»¯ºó¹ÌÌ嵯ÐÔ¼ôÇÐÄ£Á¿Ïûʧ¡£¹ØÓÚÄÉÃ״صÄÈÛ»¯£¬ÎÒ¿´¹ýµÄ¼¸ÆªÂÛÎͼ²ÉÓÃLindemann±ê×¼½øÐÐÌÖÂÛ¡£Í¬Ê±¿¼ÂÇÉýÎÂËÙÂʶԽá¹ûµÄÓ°Ïì¡£ |
4Â¥2013-11-26 10:18:48
hakuna
ľ³æ (ÖªÃû×÷¼Ò)
- Ó¦Öú: 82 (³õÖÐÉú)
- ½ð±Ò: 8735.9
- É¢½ð: 158
- ºì»¨: 126
- Ìû×Ó: 5599
- ÔÚÏß: 1367.2Сʱ
- ³æºÅ: 167622
- ×¢²á: 2006-01-15
- רҵ: ¿¼¹ÅÀíÂÛ
5Â¥2013-11-26 17:14:15
ChemiAndy
ľ³æ (ÕýʽдÊÖ)
- Ä£ÄâEPI: 40
- Ó¦Öú: 52 (³õÖÐÉú)
- ½ð±Ò: 2573.3
- É¢½ð: 18
- ºì»¨: 104
- Ìû×Ó: 590
- ÔÚÏß: 553.8Сʱ
- ³æºÅ: 836907
- ×¢²á: 2009-08-30
- ÐÔ±ð: GG
- רҵ: ÀíÂۺͼÆË㻯ѧ
¡ï ¡ï
Сľ³æ: ½ð±Ò+0.5, ¸ø¸öºì°ü£¬Ð»Ð»»ØÌû
ÔÂÖ»À¶: ½ð±Ò+1, ¹ÄÀø½»Á÷£¡ 2013-11-27 13:33:13
Сľ³æ: ½ð±Ò+0.5, ¸ø¸öºì°ü£¬Ð»Ð»»ØÌû
ÔÂÖ»À¶: ½ð±Ò+1, ¹ÄÀø½»Á÷£¡ 2013-11-27 13:33:13
|
ÔÞ£¬×ÔÓɶÀÁ¢Ñо¿µÄÈ÷ÍÑ¡£ ¹ØÓÚ Lindmann ±ê×¼ºÍBorn±ê×¼£¬×î¼òµ¥µÄ´ð°¸ÊÇ¿´wiki£º https://en.wikipedia.org/wiki/Melting Ëѵ½Ò»ÆªÂÛÎÄ£¬ÊÇÓõ¥Ô×ÓÆ½¾ùÊÆÄÜ+Lindemann indexÁ½ÖÖÖ¸±ê×ۺϿ¼²ìAl nano clusterµÄÈÛ»¯ÐÐΪ¡£ http://www.chem.missouri.edu/Tho ... hompson_Al-nano.pdf Lindeman index¾ÍÊÇËùÓмü³¤²¨¶¯µÄ¾ù·½¸ù¡£¹ÌÌåÖÐԼΪºã¶¨Öµ¡£ÈÛ»¯Ê±Ô×Ó»ñµÃƽ¶¯ÄÜ£¬´Ë¼ü³¤¾ù·½¸ùÍ»±ä¡£ |
6Â¥2013-11-27 05:20:16
hakuna
ľ³æ (ÖªÃû×÷¼Ò)
- Ó¦Öú: 82 (³õÖÐÉú)
- ½ð±Ò: 8735.9
- É¢½ð: 158
- ºì»¨: 126
- Ìû×Ó: 5599
- ÔÚÏß: 1367.2Сʱ
- ³æºÅ: 167622
- ×¢²á: 2006-01-15
- רҵ: ¿¼¹ÅÀíÂÛ
7Â¥2013-11-27 08:13:20
xiaowu759
Ìú¸Ëľ³æ (ÖøÃûдÊÖ)
- Ó¦Öú: 49 (СѧÉú)
- ½ð±Ò: 15506.2
- É¢½ð: 1597
- ºì»¨: 15
- Ìû×Ó: 1610
- ÔÚÏß: 1527.5Сʱ
- ³æºÅ: 98977
- ×¢²á: 2005-11-11
- ÐÔ±ð: GG
- רҵ: ¸ß·Ö×ÓÎïÀíÓë¸ß·Ö×ÓÎïÀí»¯
8Â¥2013-11-27 17:58:20














»Ø¸´´ËÂ¥
5