±±¾©Ê¯ÓÍ»¯¹¤Ñ§Ôº2026ÄêÑо¿ÉúÕÐÉú½ÓÊÕµ÷¼Á¹«¸æ
²é¿´: 1931  |  »Ø¸´: 7

ÓÐËù˼

Òø³æ (СÓÐÃûÆø)

[ÇóÖú] ÇëÄÄλ°ïÎÒһϣ¬ÕâÖÖ×ÖÌåÊÇÔõô´ò³öÀ´µÄ£¿

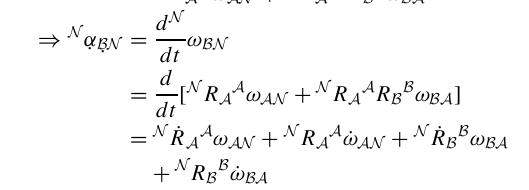
ÔÚ¹úÍâµÄһЩÆÚ¿¯Öп´µ½Ò»Ð©±íÊ¾×ø±êϵ»ò¼¯ºÏµÄ×Öĸ£¬ÓеãÏñ»¨Ìå×Ö£¬µ«ÊDz»ÊÇÏßÐÔ´úÊýÀïµÄÄÇÖÖ£¬Ôõô¶¼´ò²»³öÀ´£¬Çó´óÉñ½â´ðÔõôÑù²ÅÄÜ´ò³öÀ´ÕâÖÖ×ÖÌå¡£¾ÍÊÇÏÂͼÖй«Ê½³öÏÖµÄÄÇÖÖÓе㻨µÄ×ÖÌå¡£²»Ê¤¸Ðл£¡
ÇëÄÄλ°ïÎÒһϣ¬ÕâÖÖ×ÖÌåÊÇÔõô´ò³öÀ´µÄ£¿
¹«Ê½.JPG


ÇëÄÄλ°ïÎÒһϣ¬ÕâÖÖ×ÖÌåÊÇÔõô´ò³öÀ´µÄ£¿-1
¹«Ê½2.JPG


ÇëÄÄλ°ïÎÒһϣ¬ÕâÖÖ×ÖÌåÊÇÔõô´ò³öÀ´µÄ£¿-2
¹«Ê½3.JPG
»Ø¸´´ËÂ¥

» ²ÂÄãϲ»¶

» ±¾Ö÷ÌâÏà¹Ø¼ÛÖµÌùÍÆ¼ö£¬¶ÔÄúͬÑùÓаïÖú:

³èÈè²»¾ª£¬µÃʧ¾ãÍü¡£
ÒÑÔÄ   »Ø¸´´ËÂ¥   ¹Ø×¢TA ¸øTA·¢ÏûÏ¢ ËÍTAºì»¨ TAµÄ»ØÌû

hate3

½ð³æ (СÓÐÃûÆø)

¡¾´ð°¸¡¿Ó¦Öú»ØÌû

¸Ðл²ÎÓ룬ӦÖúÖ¸Êý +1
ÌØÊâ×Ö·ûѽ

» ±¾Ìû¸½¼þ×ÊÔ´Áбí

  • »¶Ó­¼à¶½ºÍ·´À¡£ºÐ¡Ä¾³æ½öÌṩ½»Á÷ƽ̨£¬²»¶Ô¸ÃÄÚÈݸºÔð¡£
    ±¾ÄÚÈÝÓÉÓû§×ÔÖ÷·¢²¼£¬Èç¹ûÆäÄÚÈÝÉæ¼°µ½ÖªÊ¶²úȨÎÊÌ⣬ÆäÔðÈÎÔÚÓÚÓû§±¾ÈË£¬Èç¶Ô°æÈ¨ÓÐÒìÒ飬ÇëÁªÏµÓÊÏ䣺xiaomuchong@tal.com
  • ¸½¼þ 1 : IWH@FRC9L6]I7SUBDV@0DAY.jpg
  • 2013-11-20 20:41:59, 62.61 K
¼ÓÓÍ
2Â¥2013-11-20 20:45:49
ÒÑÔÄ   »Ø¸´´ËÂ¥   ¹Ø×¢TA ¸øTA·¢ÏûÏ¢ ËÍTAºì»¨ TAµÄ»ØÌû

ÓÐËù˼

Òø³æ (СÓÐÃûÆø)

ÒýÓûØÌû:
2Â¥: Originally posted by hate3 at 2013-11-20 20:45:49
ÌØÊâ×Ö·ûѽ

¸Õ²Å¿´ÁËһϣ¬Ã»ÓÐÕÒµ½ÕâÖÖ×ÖÌå¡£ÎÒÖ÷ÒªÏëÎÊÎÊÔÚmathtypeÀïÔõô´ò³öÕâÖÖ×ÖÌ壿
³èÈè²»¾ª£¬µÃʧ¾ãÍü¡£
3Â¥2013-11-20 20:51:33
ÒÑÔÄ   »Ø¸´´ËÂ¥   ¹Ø×¢TA ¸øTA·¢ÏûÏ¢ ËÍTAºì»¨ TAµÄ»ØÌû

nono2009

³¬¼¶°æÖ÷ (ÎÄѧ̩¶·)

No gains, no pains.

ÓÅÐãÇø³¤ÓÅÐãÇø³¤ÓÅÐãÇø³¤ÓÅÐãÇø³¤ÓÅÐã°æÖ÷

Ò»°ã³ö°æÉçµÄÅŰæÏµÍ³²»ÊÇÎÒÃdz£ÓõÄWORDÖ®ÀàµÄÎÄ×Ö´¦ÀíÈí¼þ
4Â¥2013-11-21 08:54:14
ÒÑÔÄ   »Ø¸´´ËÂ¥   ¹Ø×¢TA ¸øTA·¢ÏûÏ¢ ËÍTAºì»¨ TAµÄ»ØÌû

-Nano-

гæ (СÓÐÃûÆø)

¡¾´ð°¸¡¿Ó¦Öú»ØÌû

¡ï ¡ï ¡ï ¡ï ¡ï ¡ï ¡ï ¡ï ¡ï ¡ï
¸Ðл²ÎÓ룬ӦÖúÖ¸Êý +1
ÓÐËù˼: ½ð±Ò+10, ¡ï¡ï¡ï¡ï¡ï×î¼Ñ´ð°¸ 2013-11-21 14:10:12
ÕâÊÇÎÒÃÇË׳ƵύÌ壬Mathtype¿ÉÒÔÊäÈë¡£

Mathtype/Edit/Insert Symbol/Font-Euclid Math One
5Â¥2013-11-21 10:58:12
ÒÑÔÄ   »Ø¸´´ËÂ¥   ¹Ø×¢TA ¸øTA·¢ÏûÏ¢ ËÍTAºì»¨ TAµÄ»ØÌû

-Nano-

гæ (СÓÐÃûÆø)

¡¾´ð°¸¡¿Ó¦Öú»ØÌû

Éϸöͼ¡£

» ±¾Ìû¸½¼þ×ÊÔ´Áбí

  • »¶Ó­¼à¶½ºÍ·´À¡£ºÐ¡Ä¾³æ½öÌṩ½»Á÷ƽ̨£¬²»¶Ô¸ÃÄÚÈݸºÔð¡£
    ±¾ÄÚÈÝÓÉÓû§×ÔÖ÷·¢²¼£¬Èç¹ûÆäÄÚÈÝÉæ¼°µ½ÖªÊ¶²úȨÎÊÌ⣬ÆäÔðÈÎÔÚÓÚÓû§±¾ÈË£¬Èç¶Ô°æÈ¨ÓÐÒìÒ飬ÇëÁªÏµÓÊÏ䣺xiaomuchong@tal.com
  • ¸½¼þ 1 : HT.jpg
  • 2013-11-21 11:02:17, 148.13 K
6Â¥2013-11-21 11:02:07
ÒÑÔÄ   »Ø¸´´ËÂ¥   ¹Ø×¢TA ¸øTA·¢ÏûÏ¢ ËÍTAºì»¨ TAµÄ»ØÌû

swatcaptain

Ìú¸Ëľ³æ (ÖªÃû×÷¼Ò)

¡¾´ð°¸¡¿Ó¦Öú»ØÌû

¸Ðл²ÎÓ룬ӦÖúÖ¸Êý +1
ÓиöÈí¼þ½Ð×ÖÌåÊÔÒ¼äµÄ ¿ÉÒÔÊÔÊÔ
7Â¥2013-11-21 11:38:24
ÒÑÔÄ   »Ø¸´´ËÂ¥   ¹Ø×¢TA ¸øTA·¢ÏûÏ¢ ËÍTAºì»¨ TAµÄ»ØÌû

swatcaptain

Ìú¸Ëľ³æ (ÖªÃû×÷¼Ò)

ÒýÓûØÌû:
4Â¥: Originally posted by nono2009 at 2013-11-21 08:54:14
Ò»°ã³ö°æÉçµÄÅŰæÏµÍ³²»ÊÇÎÒÃdz£ÓõÄWORDÖ®ÀàµÄÎÄ×Ö´¦ÀíÈí¼þ

ÅŰæÊÇPagemaker IndesignÖ®ÀàµÄ
8Â¥2013-11-23 23:13:14
ÒÑÔÄ   »Ø¸´´ËÂ¥   ¹Ø×¢TA ¸øTA·¢ÏûÏ¢ ËÍTAºì»¨ TAµÄ»ØÌû
Ïà¹Ø°æ¿éÌø×ª ÎÒÒª¶©ÔÄÂ¥Ö÷ ÓÐËù˼ µÄÖ÷Ìâ¸üÐÂ
×î¾ßÈËÆøÈÈÌûÍÆ¼ö [²é¿´È«²¿] ×÷Õß »Ø/¿´ ×îºó·¢±í
[¿¼ÑÐ] Ò»Ö¾Ô¸211£¬»¯Ñ§Ñ§Ë¶£¬310·Ö£¬±¾¿ÆÖصãË«·Ç£¬Çóµ÷¼Á +13 ŬÁ¦·Ü¶·112 2026-04-04 13/650 2026-04-06 07:13 by jj987
[¿¼ÑÐ] 296Çóµ÷¼Á +3 Íô£¡£¿£¡ 2026-04-05 4/200 2026-04-05 20:13 by à£à£à£0119
[¿¼ÑÐ] Ò»Ö¾Ô¸9²ÄÁÏѧ˶297ÒѹýÁù¼¶Çóµ÷¼ÁÍÆ¼ö +11 adaie 2026-04-04 12/600 2026-04-05 19:04 by À¶ÔÆË¼Óê
[¿¼ÑÐ] 290Çóµ÷¼Á085701 +10 1314Åõ»¨ 2026-04-02 10/500 2026-04-05 10:19 by Sealedwind
[¿¼ÑÐ] ¿¼Ñе÷¼Á +11 СsunÒªºÃÔË 2026-04-04 11/550 2026-04-05 08:02 by qlm5820
[¿¼ÑÐ] 288»·¾³×¨Ë¶,Çóµ÷²ÄÁÏ·½Ïò +13 lllllos 2026-04-04 14/700 2026-04-04 23:34 by lqwchd
[¿¼ÑÐ] 085600µ÷¼Á +4 1amJJ 2026-04-02 4/200 2026-04-04 21:53 by hemengdong
[¿¼ÑÐ] 311Çóµ÷¼Á +20 zchqwer 2026-04-01 22/1100 2026-04-03 22:09 by lglzsd
[¿¼ÑÐ] 335Çóµ÷¼Á +7 ÉòÇåÁ§ 2026-04-03 7/350 2026-04-03 18:55 by lijunpoly
[¿¼ÑÐ] 320Çóµ÷¼Á +3 ũҵ¹¤³ÌÓëÐÅÏ¢¼ 2026-04-03 3/150 2026-04-03 11:40 by ÍÁľ˶ʿÕÐÉú
[¿¼ÑÐ] 285Çóµ÷¼Á +8 AZMK 2026-04-02 11/550 2026-04-02 20:16 by yulian1987
[¿¼ÑÐ] 285Çóµ÷¼Á +14 AZMK 2026-04-02 14/700 2026-04-02 15:54 by ÉϾÅÌìÀ¿Ô£¨ºÃÔ
[¿¼ÑÐ] 314Çóµ÷¼Á +11 1xiaojun23 2026-03-31 12/600 2026-04-02 12:31 by 1xiaojun23
[¿¼ÑÐ] 266Çóµ÷¼Á +4 ѧԱ97LZgn 2026-04-02 4/200 2026-04-02 09:52 by yulian1987
[¿¼ÑÐ] 0710ÉúÎïѧ£¬325Çóµ÷¼Á +3 mkkkkkl 2026-04-01 3/150 2026-04-02 09:48 by Jaylen.
[¿¼ÑÐ] 302Çóµ÷¼ÁÒ»Ö¾Ô¸±±º½070300£¬±¾¿ÆÖ£´ó»¯Ñ§ +8 Ê¥ÈÕ¶úÂüÌõ 2026-04-01 11/550 2026-04-02 07:40 by chemdavid
[¿¼²©] 26ÄêÉ격 +3 staryer 2026-03-30 4/200 2026-04-01 23:21 by ai4pharm
[¿¼ÑÐ] 262Çóµ÷¼Á +7 ZZ..000 2026-03-30 8/400 2026-03-31 10:05 by cal0306
[¿¼ÑÐ] һ־ԸʳƷ¿ÆÑ§Ó빤³Ì083200Çóµ÷¼Á +4 XQTJZ 2026-03-30 4/200 2026-03-31 04:10 by fmesaito
[¿¼ÑÐ] ¹þ¶û±õ¹¤Òµ´óѧ²ÄÁÏÓ뻯¹¤×¨Ë¶378Çóµ÷¼Á +3 Ëþ±ÈÎÚ˹ 2026-03-30 3/150 2026-03-30 22:55 by Î޼ʵIJÝÔ­
ÐÅÏ¢Ìáʾ
ÇëÌî´¦ÀíÒâ¼û