| ²é¿´: 710 | »Ø¸´: 1 | ||
ÇéÐÄÍÞÍÞгæ (³õÈëÎÄ̳)
|
[ÇóÖú]
XRD·ÖÎö
|
|
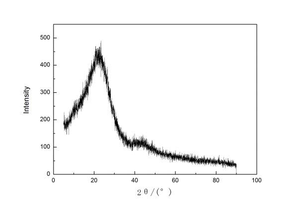
¸÷λ´óÉñ£¬ÕâÊÇ̼²ÄÁϵÄXRD£¬µÚÒ»¸ö´ó·åÊÇ23¶ÈʱºòµÄ£¬ÊÇC£¨002£©µÄ£¬ºóÃæµÄС·åÊÇÊ²Ã´ÄØ£¿ÊÇC¶àÉÙµÄ Graph1.jpg |
» ²ÂÄãϲ»¶
²ÄÁϸ´ÊÔÇóµ÷¼Á
ÒѾÓÐ24È˻ظ´
²ÄÁÏÏà¹Ø×¨Òµ344Çóµ÷¼ÁË«·Ç¹¤¿ÆÑ§Ð£»ò¿ÎÌâ×é
ÒѾÓÐ14È˻ظ´
327Çóµ÷¼Á
ÒѾÓÐ11È˻ظ´
288Çóµ÷¼Á£¬Ò»Ö¾Ô¸»ªÄÏÀí¹¤´óѧ071005
ÒѾÓÐ20È˻ظ´
ÓÐûÓÐѧУ²ÄÁÏרҵÊÕ¿çµ÷(Ò»Ö¾Ô¸085410)
ÒѾÓÐ16È˻ظ´
¸÷λÀÏʦºÃ£¬Çóµ÷¼Á£¬±¾¿Æ211£¬Ò»Ö¾Ô¸Ìì½ò´óѧÉúÎïÓëҽҩѧ˶£¬²îÁ½Ãû¼ȡ¡£
ÒѾÓÐ5È˻ظ´
»¯¹¤Ñ§Ë¶294·Ö£¬Çóµ¼Ê¦ÊÕÁô
ÒѾÓÐ23È˻ظ´
271Çóµ÷¼Á
ÒѾÓÐ34È˻ظ´
297Çóµ÷¼Á
ÒѾÓÐ23È˻ظ´
²ÄÁϹ¤³Ì281»¹Óе÷¼Á»ú»áÂð
ÒѾÓÐ33È˻ظ´
» ±¾Ö÷ÌâÏà¹ØÉ̼ÒÍÆ¼ö: (ÎÒÒ²ÒªÔÚÕâÀïÍÆ¹ã)
µÎË®´©Ê¯µÄµÎË®
гæ (СÓÐÃûÆø)
- Ó¦Öú: 0 (Ó×¶ùÔ°)
- ½ð±Ò: 598.3
- É¢½ð: 20
- Ìû×Ó: 196
- ÔÚÏß: 41.4Сʱ
- ³æºÅ: 6699726
- ×¢²á: 2017-06-06
- ÐÔ±ð: GG
- רҵ: ¿ÉÔÙÉúÓëÌæ´úÄÜÔ´ÀûÓÃÖеÄ
2Â¥2021-01-21 09:43:44














»Ø¸´´ËÂ¥