| 查看: 758 | 回复: 2 | ||||
oewindbell铜虫 (小有名气)
|
[求助]
【请教】关于Ince多项式的一个积分
|
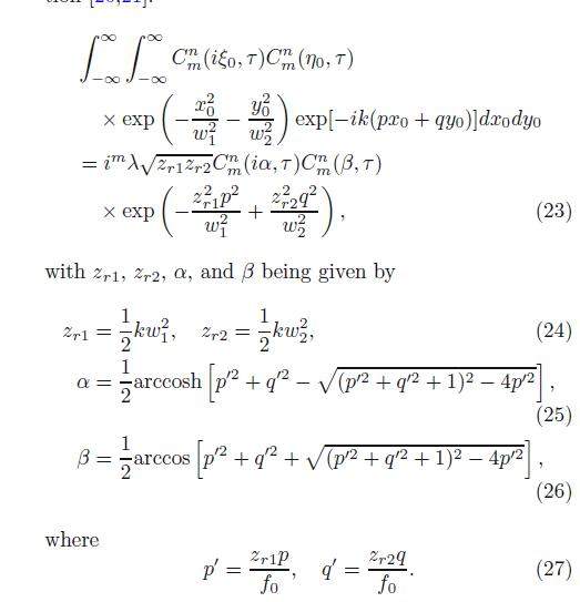
这是我在一篇文献上面看到的一个关于Ince多项式积分的一个结果,但是不知道这个公式是怎么得到的。望数学高手能替我解答,告诉我这个是如何得到的,或者推荐一下关于ince多项式积分的相关书籍。小弟将不甚感激!!!![]() ince.JPG |
» 猜你喜欢
退学或坚持读
已经有28人回复
有时候真觉得大城市人没有县城人甚至个体户幸福
已经有7人回复
天津大学招2026.09的博士生,欢迎大家推荐交流(博导是本人)
已经有3人回复
面上项目申报
已经有3人回复
酰胺脱乙酰基
已经有9人回复
CSC & MSCA 博洛尼亚大学能源材料课题组博士/博士后招生|MSCA经费充足、排名优
已经有5人回复
博士延得我,科研能力直往上蹿
已经有7人回复
面上基金申报没有其他的参与者成吗
已经有5人回复
遇见不省心的家人很难过
已经有22人回复
» 本主题相关价值贴推荐,对您同样有帮助:
一个matlab 多项式问题~~
已经有3人回复
泰勒公式的问题!多项式怎么敢逼近一个函数 ,多项式与函数的关系
已经有7人回复
feixiaolin
荣誉版主 (文坛精英)
-

专家经验: +518 - 应助: 942 (博后)
- 贵宾: 1.275
- 金币: 3430
- 散金: 58785
- 红花: 532
- 沙发: 11
- 帖子: 24215
- 在线: 2601.8小时
- 虫号: 2139575
- 注册: 2012-11-21
- 专业: 光学信息获取与处理
- 管辖: 数学
【答案】应助回帖
感谢参与,应助指数 +1
| INCE POLYNOMIALS |
» 本帖附件资源列表
-
欢迎监督和反馈:小木虫仅提供交流平台,不对该内容负责。
本内容由用户自主发布,如果其内容涉及到知识产权问题,其责任在于用户本人,如对版权有异议,请联系邮箱:xiaomuchong@tal.com - 附件 1 : josaa-21-5-873.PDF
2013-11-15 11:13:06, 646.46 K
2楼2013-11-15 11:12:48
oewindbell
铜虫 (小有名气)
- 应助: 1 (幼儿园)
- 金币: 324.9
- 红花: 1
- 帖子: 120
- 在线: 213.9小时
- 虫号: 1828175
- 注册: 2012-05-21
- 性别: GG
- 专业: 光学
3楼2013-11-15 13:55:29














回复此楼