| 查看: 1197 | 回复: 11 | ||
[求助]
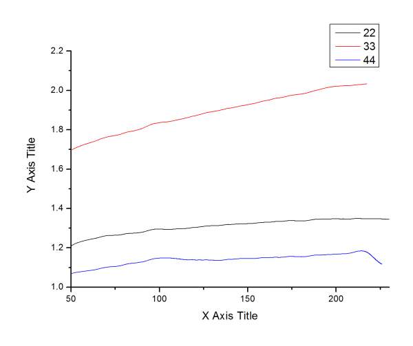
急问从下面这个DSC图中能得到什么信息?本人对高分子不熟悉,刚接触
|
||
|
X代表温度,Y代表heat flow, 22, 33, 44分别代表三种物质。从三种物质的DSC曲线能得出什么信息,这三种物质相比较又能得出什么信息?谢谢! Graph1.jpg [ Last edited by sscc on 2013-11-14 at 23:01 ] |
» 猜你喜欢
化工专硕求调剂
已经有3人回复
274求调剂
已经有5人回复
调剂
已经有3人回复
08工学调剂
已经有15人回复
招08考数学
已经有16人回复
340求调剂
已经有3人回复
材料专硕找调剂
已经有4人回复
0854电子信息求调剂
已经有6人回复
0805 316求调剂
已经有4人回复
0854 考研调剂 招生了!AI 方向
已经有17人回复
» 本主题相关商家推荐: (我也要在这里推广)
4楼2013-11-17 22:13:12
yangguang01
金虫 (知名作家)
可降解塑料专家
- 应助: 599 (博士)
- 贵宾: 0.065
- 金币: 1271.9
- 散金: 1139
- 红花: 20
- 帖子: 5010
- 在线: 499.7小时
- 虫号: 429209
- 注册: 2007-08-04
- 性别: GG
- 专业: 高分子物理与高分子物理化
- 管辖: 高分子
2楼2013-11-15 00:24:27
Pureland
木虫之王 (知名作家)
- PEPI: 67
- 应助: 1516 (讲师)
- 贵宾: 0.015
- 金币: 135565
- 散金: 3502
- 红花: 723
- 帖子: 6479
- 在线: 2896.4小时
- 虫号: 693216
- 注册: 2009-01-16
- 专业: 应用高分子化学与物理
3楼2013-11-15 07:59:20
紫百合LYL
至尊木虫 (职业作家)
- PEPI: 1
- 应助: 162 (高中生)
- 贵宾: 0.976
- 金币: 12391.8
- 散金: 5907
- 红花: 106
- 沙发: 13
- 帖子: 3663
- 在线: 576.4小时
- 虫号: 1986624
- 注册: 2012-09-09
- 性别: MM
- 专业: 高分子材料结构与性能

5楼2013-11-18 08:21:19
6楼2013-11-19 23:24:21
gudaoshouma
木虫 (小有名气)
- 应助: 1 (幼儿园)
- 金币: 3581.9
- 散金: 16
- 帖子: 281
- 在线: 191.1小时
- 虫号: 1028873
- 注册: 2010-05-26
- 性别: GG
- 专业: 色谱分析
7楼2013-11-25 16:38:21
_andalusia
金虫 (小有名气)
- 应助: 19 (小学生)
- 金币: 1133.8
- 散金: 156
- 红花: 5
- 帖子: 172
- 在线: 210.3小时
- 虫号: 933685
- 注册: 2009-12-26
- 专业: 热分析与能谱分析
8楼2013-11-25 17:36:26
9楼2013-11-25 18:54:12
gudaoshouma
木虫 (小有名气)
- 应助: 1 (幼儿园)
- 金币: 3581.9
- 散金: 16
- 帖子: 281
- 在线: 191.1小时
- 虫号: 1028873
- 注册: 2010-05-26
- 性别: GG
- 专业: 色谱分析
10楼2013-11-25 20:23:11













回复此楼