| ²é¿´: 1391 | »Ø¸´: 5 | ||
revealerͳæ (³õÈëÎÄ̳)
|
[ÇóÖú]
DSCÇúÏßÇó·ÖÎö£¡ ´óÏÀÃǰï°ïæ
|
|
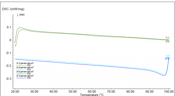
ÕâÊÇҺ̬ʯÀ¯Óë¶¡±½Ï𽺵Ĺ¤Òµ»ìºÏÎΪʲô×öDSC£¬ÇúÏß¿´²»µ½ÈÛ»¯·å¡£ ʵ¼ÊÉÏ£¬60~70¡æÖ®¼ä¾ÍÒѾÈÚ»¯ÁË£¬ÉýÎÂʱ5¡æ/min DSC-GELWAX.png |
» ²ÂÄãϲ»¶
¶«±±Ê¯ÓÍ´óѧÍÁľ¹¤³Ì¡¢ÍÁľˮÀûרҵÕÐÊÕµ÷¼Á
ÒѾÓÐ0È˻ظ´
ÍÁľˮÀûµ÷¼Á
ÒѾÓÐ0È˻ظ´
½¨Öþ»·¾³Óë½á¹¹¹¤³ÌÂÛÎÄÈóÉ«/·ÒëÔõôÊÕ·Ñ?
ÒѾÓÐ252È˻ظ´
293 µ÷¼Á
ÒѾÓÐ1È˻ظ´
Î÷¾©Ñ§ÔºÍÁľˮÀûÑо¿Éúµ÷¼Á
ÒѾÓÐ0È˻ظ´
ÕÐÊÕµ÷¼ÁÑо¿Éú¡ª¡ªÎ÷¾© ÍÁľˮÀû
ÒѾÓÐ0È˻ظ´
293Çóµ÷¼Á
ÒѾÓÐ2È˻ظ´
293Çóµ÷¼Á
ÒѾÓÐ6È˻ظ´
Î÷¾©Ñ§Ôº-½á¹¹¹¤³Ì-2026Ñо¿Éúµ÷¼Á
ÒѾÓÐ0È˻ظ´
ÄÏͨ´óѧ-½»Í¨ÓëÍÁľ¹¤³ÌѧԺ Õе÷¼ÁѧÉú
ÒѾÓÐ15È˻ظ´
¡¾¹ãÖÝ¡¿ÖÙâýũҵ¹¤³ÌѧԺ³ÇÏ罨ÉèѧԺÍÁľˮÀûרҵ˶ʿÕе÷¼Á
ÒѾÓÐ0È˻ظ´
» ±¾Ö÷ÌâÏà¹Ø¼ÛÖµÌùÍÆ¼ö£¬¶ÔÄúͬÑùÓаïÖú:
ÉϽ»²©µ¼µÄ»Ø¸´£¬Çë´óÏÀÃǰïæ·ÖÎöһϡ£
ÒѾÓÐ50È˻ظ´
Óж®comsolµÄÂð?Çó´óÏÀ½øÀ´°ï°ï棡
ÒѾÓÐ3È˻ظ´
Çó¸÷λ´óÏÀ~°ïæ¡«
ÒѾÓÐ11È˻ظ´
ÇóÖú£ºÓøß˹¼ÆË㣬×ÜÊdzöÏÖ2070´íÎó´úÂ룬Çë´óÏÀÃǰï°ïæ
ÒѾÓÐ5È˻ظ´
¸÷λ´óÏÀ£¬°ïæ¿´Ò»ÏÂÕâ¸öÑõ»¯ÂÁµÄÎü¸½½âÎüÇúÏßÖͺó»·ÊÇʲôÐ͵İ¡£¬¿×ÐÍÕ¦Ñù°¡~~лл
ÒѾÓÐ12È˻ظ´
ÀÍÉÊÔ¼ÁÁò»¯¼°ºó´¦ÀíÎÊÌâ~~Çó´óÏÀ°ï棡£¡
ÒѾÓÐ10È˻ظ´
´óÏÀÃÇ£¬°ï°ï棬ÂÞµ¤Ã÷BÔõô²»½µ½âÄØ
ÒѾÓÐ43È˻ظ´
ÇóÖú£¬´óÏÀÃÇ£¬°ïæ²éÒ»ÏÂUSP35ÀïÃæµÄcelecoxib£¬×ż±°¡Ð»Ð»
ÒѾÓÐ4È˻ظ´
Çó´óÏÀ°ïæ½â¾öÒ»¸öBÀà´íÎ󣡣¡Ð»Ð»
ÒѾÓÐ5È˻ظ´
·¢±í¹ýÅ·ÖÞJOCµÄ´óÏÀÃǰï°ïæ°É
ÒѾÓÐ5È˻ظ´
Çó´óÏÀÃǰïæ·ÒëÒ»¶ÎÎÄ×Ö£¨ººÓï·Òë³ÉÓ¢Ó
ÒѾÓÐ5È˻ظ´
΢ÉúÎï´óÏÀÃǰï°ïæ°¡! ×ö¶Ôϸ¾úµÄÒÖ¾úÐÔ£¬ÐèÒªÄÄЩ°²È«´ëÊ©
ÒѾÓÐ12È˻ظ´
ÇóÖú£ºÍ¶¸åÁË4¸öÔ£¬½ñÌìÊÕµ½ÁËÒ»·âÆæ¹ÖµÄÓʼþ¡£Çë´óÏÀÃǰïæ·ÖÎöÒ»ÏÂ
ÒѾÓÐ16È˻ظ´
Çë¸÷λ´óÏÀ°ïæ·ÖÎöÒ»ÏÂÔõô²Ù×÷¡£¡£¡£
ÒѾÓÐ7È˻ظ´
ÖÆ±¸±ûÏ©ËáÈéÒº£¬Ê®¶þÍé»ù»ÇËáÄÆºÍÊ®¶þÍé»ù±½»ÇËáÄÆÄÜ·ñͨÓ㬴óÏÀÃǰï°ïæ°¡~~~
ÒѾÓÐ8È˻ظ´
´ÓDSCÇúÏß·ÖÎöÄܵõ½Ê²Ã´ÐÅÏ¢£¿Çë´óÏÀÖ¸µ¼
ÒѾÓÐ3È˻ظ´
CASTEP¼¸ºÎÓÅ»¯¼ÆËãÖжϣ¬´óÏÀÃǰï°ïæ°¡£¡
ÒѾÓÐ5È˻ظ´
ÓйØÓÚôÈËá+DCC+NHS·´Ó¦ÖƱ¸õ£°·£¬Çë´óÏÀÃǽøÀ´°ï°ï棡
ÒѾÓÐ7È˻ظ´
ÇóÖú£ºÈçºÎɾ³ý²»Ð¡ÐÄ´´½¨µÄ¹²Ïí¹¤×÷»ú×飿£¿£¿´óÏÀÃǰï°ïÎÒ£¡£¡£¡
ÒѾÓÐ1È˻ظ´
¡¾ÇóÖú¡¿×ö¹ýͪ±£»¤µÄ´óÏÀ°ïæһÏÂ
ÒѾÓÐ8È˻ظ´
¡¾ÇóÖú¡¿»·ÑõÊ÷Ö¬E51¹Ì»¯ÎïµÄDSCÇúÏß ÎªÊ²Ã´Á½¸öTg
ÒѾÓÐ30È˻ظ´
forever2015
Òø³æ (СÓÐÃûÆø)
- Ó¦Öú: 12 (СѧÉú)
- ½ð±Ò: 938.9
- É¢½ð: 10
- ºì»¨: 1
- Ìû×Ó: 251
- ÔÚÏß: 200Сʱ
- ³æºÅ: 2373061
- ×¢²á: 2013-03-24
- ÐÔ±ð: MM
- רҵ: ΢ÉúÎïÉúÀíÓëÉúÎﻯѧ
¡¾´ð°¸¡¿Ó¦Öú»ØÌû
¡ï
¸Ðл²ÎÓ룬ӦÖúÖ¸Êý +1
revealer(ant_512´ú·¢): ½ð±Ò+1, ½±Àø£¡ 2013-11-13 19:58:15
¸Ðл²ÎÓ룬ӦÖúÖ¸Êý +1
revealer(ant_512´ú·¢): ½ð±Ò+1, ½±Àø£¡ 2013-11-13 19:58:15
ÄãÊÔÊÔ°ÑÉýÎÂËÙÂÊÌá¸ß£¬¿´ÓÐûÓÐЧ¹û£¬ÎÒ×î½üÒ²ÔÚÓÃDSC£¬²»¹ýÎÒÃÇÖ÷ÒªÊÇ¿´²£Á§»¯×ª±äζȣ¬¿´ÎÄÏ×˵ÉýÎÂËÙÂÊÔ½´ó£¬·åÐÍÔ½´óÔ½¼âÈñ¡£²»ÖªµÀ¶ÔÄãÓÐûÓаïÖú£¬ÎÒÒ²ÔÚѧϰÖС£ |
2Â¥2013-11-13 12:43:52
qjxchh
ͳæ (СÓÐÃûÆø)
- Ó¦Öú: 2 (Ó×¶ùÔ°)
- ½ð±Ò: 224.7
- ºì»¨: 2
- Ìû×Ó: 108
- ÔÚÏß: 58.4Сʱ
- ³æºÅ: 2013886
- ×¢²á: 2012-09-19
- רҵ: ¸ß·Ö×Ӻϳɻ¯Ñ§
¡¾´ð°¸¡¿Ó¦Öú»ØÌû
¡ï
¸Ðл²ÎÓ룬ӦÖúÖ¸Êý +1
revealer(ant_512´ú·¢): ½ð±Ò+1, ½±Àø 2013-11-13 19:58:21
¸Ðл²ÎÓ룬ӦÖúÖ¸Êý +1
revealer(ant_512´ú·¢): ½ð±Ò+1, ½±Àø 2013-11-13 19:58:21
| Ïð½ºÊÇÎÞ¶¨ÐÎ̬¾ÛºÏÎ²»»á½á¾§£¬ÄǾÍûÓÐÈ۵㣬Ôõô»áÓÐÈÛÈÚ·åÄØ£¿¸öÈ˸оõÓÃDSCÖ»ÄܲâÏ𽺵ÄTg. |
3Â¥2013-11-13 15:18:08
liuhuiwencs
ľ³æ (СÓÐÃûÆø)
- Ó¦Öú: 3 (Ó×¶ùÔ°)
- ½ð±Ò: 2146.4
- Ìû×Ó: 91
- ÔÚÏß: 73.1Сʱ
- ³æºÅ: 1435921
- ×¢²á: 2011-10-10
- ÐÔ±ð: GG
- רҵ: ¾ÛºÏÎï¹²»ìÓ븴ºÏ²ÄÁÏ
¡¾´ð°¸¡¿Ó¦Öú»ØÌû
¸Ðл²ÎÓ룬ӦÖúÖ¸Êý +1
| ¡£¡£¡£¶¡±½Ï𽺲»ÊÇÎÞ¶¨ÐξۺÏÎïô£¬ÄÄÀ´µÄÈÛÈÚ·å¡£¡£¡£Ö»Óв£Á§»¯×ª±ä·å |
4Â¥2013-11-14 10:19:44
Pureland
ľ³æÖ®Íõ (ÖªÃû×÷¼Ò)
- CM-EPI: 3
- Ó¦Öú: 1516 (½²Ê¦)
- ¹ó±ö: 0.015
- ½ð±Ò: 135567
- É¢½ð: 3502
- ºì»¨: 723
- Ìû×Ó: 6479
- ÔÚÏß: 2896.4Сʱ
- ³æºÅ: 693216
- ×¢²á: 2009-01-16
- רҵ: Ó¦Óø߷Ö×Ó»¯Ñ§ÓëÎïÀí
5Â¥2013-11-14 19:31:01
zhoushusandy
гæ (ÕýʽдÊÖ)
- Ó¦Öú: 0 (Ó×¶ùÔ°)
- ½ð±Ò: 1513.5
- É¢½ð: 19
- Ìû×Ó: 357
- ÔÚÏß: 136.7Сʱ
- ³æºÅ: 1316561
- ×¢²á: 2011-06-06
- רҵ: É«Æ×·ÖÎö
6Â¥2016-05-03 21:57:19














»Ø¸´´ËÂ¥