| 查看: 1193 | 回复: 8 | |||
| 当前只显示满足指定条件的回帖,点击这里查看本话题的所有回帖 | |||
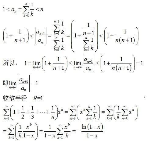
[求助]
一道考研真题,有关级数的——求正解
|
|||
|
|
|||
莲动波光浩月木虫 (小有名气)
|
|||
|
4楼2013-11-08 18:55:38
|
|
||
| 查看全部 9 个回答 | |||
jabile木虫 (正式写手)
|
|||
|
2楼2013-11-08 18:15:35
|
|
||
莲动波光浩月木虫 (小有名气)
|
|||
|
3楼2013-11-08 18:48:03
|
|
||
feixiaolin荣誉版主 (文坛精英)
|
|||
|
5楼2013-11-09 08:37:37
|
|
||














回复此楼

10