24小时热门版块排行榜    

查看: 393  |  回复: 0

gx1989maomao

铜虫 (初入文坛)

[求助] 求大神们指导石墨烯带状光波导的色散图画法

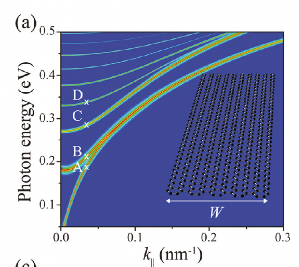
请大神们指导一下这张求大神们指导石墨烯带状光波导的色散图画法之中的色散曲线是怎么绘制的 用了什么软件  为什么曲线有一个展宽 文献是Graphene Plasmon Waveguiding and Hybridization in Individual and Paired Nanoribbons    文献的附加材料之中提到了局部光态密度LDOS 这是何物[ Last edited by gx1989maomao on 2013-11-8 at 11:43 ]
回复此楼

» 本帖附件资源列表

» 猜你喜欢

» 本主题相关商家推荐: (我也要在这里推广)

已阅   回复此楼   关注TA 给TA发消息 送TA红花 TA的回帖
相关版块跳转 我要订阅楼主 gx1989maomao 的主题更新
最具人气热帖推荐 [查看全部] 作者 回/看 最后发表
[考研] 一志愿 西北大学 总分282 英语一62 求调剂 +5 18419759900 2026-03-25 5/250 2026-03-26 12:12 by 小小麦片
[硕博家园] 北京林业大学硕导招生广告 +4 kongweilin 2026-03-26 6/300 2026-03-26 10:06 by 咪呜喵呜
[考研] 303求调剂 +6 蓝山月 2026-03-25 6/300 2026-03-25 22:47 by 418490947
[考研] 材料求调剂 +4 .m.. 2026-03-25 4/200 2026-03-25 21:30 by peike
[考研] 081700 调剂 267分 +10 迷人的哈哈 2026-03-23 10/500 2026-03-25 12:12 by userper
[考研] 271求调剂 +4 生如夏花… 2026-03-22 4/200 2026-03-25 11:25 by userper
[考研] 调剂 +4 13853210211 2026-03-24 4/200 2026-03-24 19:44 by ms629
[考研] 一志愿南航材料专317分求调剂 +5 炸呀炸呀炸薯条 2026-03-23 5/250 2026-03-24 16:52 by 星空星月
[考研] 279分求调剂 一志愿211 +18 chaojifeixia 2026-03-19 20/1000 2026-03-24 10:34 by dolphin_ycj
[考研] 291求调剂 +8 hhhhxn.. 2026-03-23 8/400 2026-03-23 23:15 by peike
[考研] 384求调剂 +3 子系博 2026-03-22 6/300 2026-03-23 21:45 by 子系博
[考研] 352求调剂 +3 大米饭! 2026-03-22 3/150 2026-03-22 23:28 by king123!
[考研] 材料与化工085600,总分304,本科有两篇sci参与,求调剂 +4 幸运的酱酱 2026-03-22 5/250 2026-03-22 20:15 by edmund7
[考研] 275求调剂 +6 shansx 2026-03-22 8/400 2026-03-22 15:27 by barlinike
[考研] 269专硕求调剂 +6 金恩贝 2026-03-21 6/300 2026-03-22 14:31 by ColorlessPI
[考研] 一志愿北京化工大学070300 学硕336求调剂 +5 vv迷 2026-03-21 8/400 2026-03-22 14:20 by ColorlessPI
[考研] 求调剂 +4 要好好无聊 2026-03-21 4/200 2026-03-21 18:57 by 学员8dgXkO
[考研] 0703化学调剂 +4 妮妮ninicgb 2026-03-21 4/200 2026-03-21 18:39 by 学员8dgXkO
[考研] 085601调剂 358分 +3 zzzzggh 2026-03-20 4/200 2026-03-21 10:21 by luoyongfeng
[考研] 求调剂 +3 eation27 2026-03-20 3/150 2026-03-20 19:32 by JourneyLucky
信息提示
请填处理意见