| 查看: 466 | 回复: 2 | |
| 【悬赏金币】回答本帖问题,作者夕阳西下将赠送您 50 个金币 | |
夕阳西下金虫 (著名写手)
|
[求助]
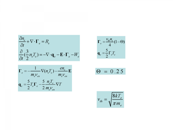
求助流体力学模拟程序
|
|
|
|
kmd木虫 (著名写手)
|
|
|
2楼2013-11-01 17:05:15
|
|
夕阳西下金虫 (著名写手)
|
|
|
3楼2013-11-01 20:36:33
|
|














回复此楼
120