| 查看: 1175 | 回复: 2 | ||
[求助]
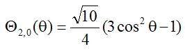
求当n=3,l=2,m=0时薛定谔方程波函数的表达式
|
|
求当n=3,l=2,m=0时薛定谔方程波函数的表达式,要球坐标体系,变量是r、θ、φ的 [ Last edited by sddtc888 on 2013-10-30 at 18:26 ] |
» 猜你喜欢
什么脱膜剂可以完全清洗干净啊?
已经有2人回复
暨南大学化学与材料学院赵宇亮院士正在招博士和博后,方向为生物材料和纳米医学
已经有1人回复
有机高分子材料论文润色/翻译怎么收费?
已经有108人回复
可生物降解聚酯正在重塑现代医疗器械
已经有0人回复
26届博士申请
已经有2人回复
PLLA 微球在生物医学领域的研究与应用
已经有1人回复
PLLA 微球的材料特性与制备工艺解析
已经有0人回复
医用聚己内酯(PCL)全解析:从两段式降解到组织工程应用
已经有0人回复
反相硅胶如何再生?
已经有1人回复
» 本主题相关价值贴推荐,对您同样有帮助:
【求助】O3的薛定谔方程表达式,及每一项的物理意义
已经有4人回复
ChmistryCHEN
木虫 (正式写手)
- 应助: 10 (幼儿园)
- 金币: 3436.4
- 红花: 3
- 帖子: 555
- 在线: 357.9小时
- 虫号: 2696069
- 注册: 2013-10-03
- 性别: GG
- 专业: 有机合成

2楼2013-10-30 18:17:10
sddtc888
至尊木虫 (著名写手)
Hψ=Eψ S=klnΩ dS≥δQ/T
- ICEPI: 4
- 应助: 181 (高中生)
- 贵宾: 2.508
- 金币: 10753.4
- 散金: 1948
- 红花: 29
- 沙发: 1
- 帖子: 1609
- 在线: 1165.1小时
- 虫号: 1410152
- 注册: 2011-09-20
- 性别: GG
- 专业: 凝聚态物性 II :电子结构

3楼2013-10-30 19:05:28













回复此楼