| ²é¿´: 666 | »Ø¸´: 1 | ||
yy521Òø³æ (СÓÐÃûÆø)
|
[ÇóÖú]
ÈçºÎʹÕâÁ½ÖÖÎïÖʲúÉú»¯Ñ§¼üºÏ×÷Óã¿ÓÐûÓÐÕâÖÖ¿ÉÄÜÐÔ£¿
|
|
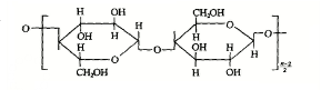
ÈçºÎ½«»¯Ñ§ÎïÖÊA½ÓÖ¦µ½ÏËÎ¬ËØ·Ö×ÓÉÏÄØ£¿»òÕßÈçºÎÌá¸ß·´Ó¦ÂÊÄØ£¿Çë¸÷λ¸ßÊÖÖ¸µã¡£ ÏËÎ¬ËØ·Ö×Ó.png A·Ö×Óʽ.png |
» ²ÂÄãϲ»¶
26»úеµ÷¼Á | º¼µç±¾¿Æ322 | ¾«Í¨SW/UG/AutoCAD+ANSYS | Çó´ø×ß
ÒѾÓÐ1È˻ظ´
26»úеµ÷¼Á | º¼µç±¾¿Æ322 | ¾«Í¨SW/UG/AutoCAD+ANSYS | Çó´ø×ß
ÒѾÓÐ0È˻ظ´
¹¤³ÌÈÈÎïÀíÓëÄÜÔ´ÀûÓÃÂÛÎÄÈóÉ«/·ÒëÔõôÊÕ·Ñ?
ÒѾÓÐ189È˻ظ´
0858ר˶.339·ÖÇóµ÷¼Á
ÒѾÓÐ0È˻ظ´
ѧ˶287Çóµ÷¼Á
ÒѾÓÐ0È˻ظ´
ѧ˶287Çóµ÷¼Á
ÒѾÓÐ5È˻ظ´
UltView£ºÒ»¸ö±È ParaView ¸ü¼òµ¥µÄ Abaqus ODB ²é¿´¹¤¾ß£¨Ò²Ö§³Ö VTU/VTK£©
ÒѾÓÐ0È˻ظ´
ÇóÒ»¸öÐÂ¼ÓÆÂµÄ»úеÁìÓò·ÃÎʽ»Á÷ÑûÇ뺯
ÒѾÓÐ0È˻ظ´
» ±¾Ö÷ÌâÏà¹ØÉ̼ÒÍÆ¼ö: (ÎÒÒ²ÒªÔÚÕâÀïÍÆ¹ã)

billiards
ÖÁ×ðľ³æ (ÖøÃûдÊÖ)
- GEPI: 7
- Ó¦Öú: 367 (˶ʿ)
- ½ð±Ò: 15522.2
- ºì»¨: 21
- Ìû×Ó: 1486
- ÔÚÏß: 1225.7Сʱ
- ³æºÅ: 106459
- ×¢²á: 2005-11-17
- רҵ: »úе½á¹¹Ç¿¶Èѧ
¡¾´ð°¸¡¿Ó¦Öú»ØÌû
¡ï ¡ï ¡ï ¡ï ¡ï
¸Ðл²ÎÓ룬ӦÖúÖ¸Êý +1
yy521: ½ð±Ò+5, ¡ï¡ï¡ïºÜÓаïÖú 2013-12-05 09:50:59
¸Ðл²ÎÓ룬ӦÖúÖ¸Êý +1
yy521: ½ð±Ò+5, ¡ï¡ï¡ïºÜÓаïÖú 2013-12-05 09:50:59
|
½ÓÖ¦¹²¾ÛºÏ http://baike.baidu.com/view/2946659.htm |
2Â¥2013-11-01 01:15:13














»Ø¸´´ËÂ¥