24小时热门版块排行榜    

北京石油化工学院2026年研究生招生接收调剂公告
查看: 584  |  回复: 0

木木菜

金虫 (小有名气)

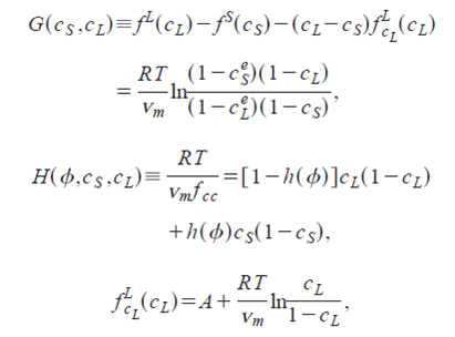
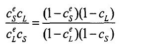
[求助] 相场凝固KKS模型中的稀溶液近似具体怎么的出来的???请大牛指教··

如下所示:能详细解说下某····不是只是说在两相平衡自由能相等条件下得出····,最好可以给个推到过程····谢谢哈·····
相场凝固KKS模型中的稀溶液近似具体怎么的出来的???请大牛指教··
图片1.png


相场凝固KKS模型中的稀溶液近似具体怎么的出来的???请大牛指教··-1
图片2.png
回复此楼
已阅   回复此楼   关注TA 给TA发消息 送TA红花 TA的回帖
相关版块跳转 我要订阅楼主 木木菜 的主题更新
最具人气热帖推荐 [查看全部] 作者 回/看 最后发表
[考研] 332求调剂 +3 @MZB382400 2026-03-28 3/150 2026-03-28 16:55 by JourneyLucky
[考研] 22408 359分调剂 +3 Qshers 2026-03-27 4/200 2026-03-28 16:45 by Qshers
[考研] 求调剂 +6 芦lty 2026-03-25 7/350 2026-03-28 13:13 by 唐沐儿
[考研] 材料与化工(0856)304求B区调剂 +8 邱gl 2026-03-27 8/400 2026-03-28 12:42 by 唐沐儿
[考研] 289求调剂 +10 新时代材料 2026-03-27 10/500 2026-03-28 09:53 by 无际的草原
[考研] 331环境科学与工程求调剂 +3 熠然好运气 2026-03-27 3/150 2026-03-28 04:11 by fmesaito
[考研] 一志愿 西北大学 总分282 英语一62 求调剂 +7 18419759900 2026-03-25 8/400 2026-03-27 16:38 by 18419759900
[考研] 274求调剂 +17 顾九笙要谦虚 2026-03-24 23/1150 2026-03-27 15:16 by caszguilin
[考研] 305求调剂 +5 哇卢卡库 2026-03-26 5/250 2026-03-27 14:01 by laoshidan
[考研] 一志愿华东理工大学081700,初试分数271 +6 kotoko_ik 2026-03-23 7/350 2026-03-27 12:29 by 惠州彭于晏
[考研] 334求调剂 +3 雨清天晴 2026-03-21 3/150 2026-03-27 11:30 by 不吃魚的貓
[考研] 351求调剂 +4 麦克阿磊 2026-03-24 4/200 2026-03-27 00:32 by wxiongid
[考研] 一志愿郑州大学,080500学硕,总分317分求调剂 +4 举个栗子oi 2026-03-24 5/250 2026-03-26 23:15 by 不吃魚的貓
[考研] 352求调剂 +4 大米饭! 2026-03-22 4/200 2026-03-26 16:40 by 不吃魚的貓
[考研] 309求调剂 +4 gajsj 2026-03-25 5/250 2026-03-26 00:27 by Dyhoer
[考研] 290分调剂求助 +3 吉祥止止陈 2026-03-25 3/150 2026-03-25 19:58 by barlinike
[考研] 【2026考研调剂】制药工程 284分 求相关专业调剂名额 +4 袁奂奂 2026-03-25 8/400 2026-03-25 14:32 by lbsjt
[考研] 0854电子信息求调剂 +7 α____ 2026-03-22 9/450 2026-03-25 13:37 by α____
[考研] 293求调剂 +7 加一一九 2026-03-24 7/350 2026-03-25 12:02 by userper
[考研] 一志愿河北工业大学0817化工278分求调剂 +7 jhybd 2026-03-23 12/600 2026-03-24 09:03 by jhybd
信息提示
请填处理意见