| 查看: 1307 | 回复: 3 | ||
zhangyujin铜虫 (正式写手)
|
[求助]
哪位高手知道左右旋偏振光为什么能表示成这种形式?
|
|
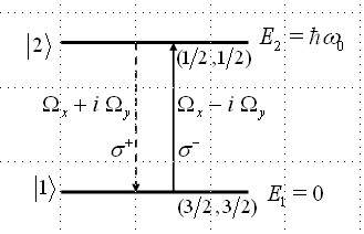
如下图所示 左侧表示右旋光激发从2能级向1能级的跃迁 其中 omiga(x)+i omiga(y) 表示右旋光 为什么能这么表示呢?这种表达式的出处是哪里? 还有1.2能级下边都有(1/2,1/2)这种表达形式 表示什么物理意义呢?为什么上能级的是(1/2,1/2)而下能级上的反而是 (3/2,3/2)这种表达方式的出处是? 3KN@}GH7I@LBF}Z)H)2_9QF.jpg |
» 猜你喜欢
体制内长辈说体制内绝大部分一辈子在底层,如同你们一样大部分普通教师忙且收入低
已经有12人回复
过年走亲戚时感受到了所开私家车的鄙视链
已经有9人回复
今年春晚有几个节目很不错,点赞!
已经有10人回复
情人节自我反思:在爱情中有过遗憾吗?
已经有10人回复
基金正文30页指的是报告正文还是整个申请书
已经有5人回复
» 本主题相关价值贴推荐,对您同样有帮助:
【求助】哪位高人用过偏振分光片,请教!
已经有6人回复

quickshare
木虫 (小有名气)
- 应助: 6 (幼儿园)
- 金币: 101.6
- 散金: 2200
- 红花: 3
- 帖子: 201
- 在线: 206.3小时
- 虫号: 1038556
- 注册: 2010-06-09
- 性别: GG
- 专业: 光学

2楼2013-10-25 19:54:35
3楼2013-10-25 20:25:54

4楼2013-11-05 15:55:25













回复此楼