| 查看: 397 | 回复: 1 | ||
bluethky木虫 (著名写手)
|
[求助]
saalschutz form 的具体式子形式
|
|
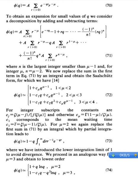
图片中有个saalschutz form 我已经圈出来了,这个到底是啥形式的,求解答! 先谢谢了! 背景是求一个幂率函数(如t^r,r大于1)的laplace变换,由于其在零处趋于无穷大,所以采取了一些变换。 JE}(C[55SBSMAI6~416CVHO.jpg [ Last edited by bluethky on 2013-10-22 at 23:24 ] |
» 猜你喜欢
退学或坚持读
已经有28人回复
有时候真觉得大城市人没有县城人甚至个体户幸福
已经有7人回复
天津大学招2026.09的博士生,欢迎大家推荐交流(博导是本人)
已经有3人回复
面上项目申报
已经有3人回复
酰胺脱乙酰基
已经有9人回复
CSC & MSCA 博洛尼亚大学能源材料课题组博士/博士后招生|MSCA经费充足、排名优
已经有5人回复
博士延得我,科研能力直往上蹿
已经有7人回复
面上基金申报没有其他的参与者成吗
已经有5人回复
遇见不省心的家人很难过
已经有22人回复
bluethky
木虫 (著名写手)
- 应助: 1 (幼儿园)
- 金币: 4648.8
- 散金: 849
- 红花: 11
- 帖子: 1389
- 在线: 227.5小时
- 虫号: 2609601
- 注册: 2013-08-21
- 专业: 植物学研究的新技术、新方
2楼2013-10-24 17:30:22













回复此楼