版块导航
正在加载中...
客户端APP下载
论文辅导
调剂小程序
登录
注册
帖子
帖子
用户
本版
应《网络安全法》要求,自2017年10月1日起,未进行实名认证将不得使用互联网跟帖服务。为保障您的帐号能够正常使用,请尽快对帐号进行手机号验证,感谢您的理解与支持!
24小时热门版块排行榜
>
论坛更新日志
(2811)
>
文献求助
(195)
>
虫友互识
(109)
>
导师招生
(89)
>
硕博家园
(60)
>
考博
(59)
>
休闲灌水
(57)
>
论文投稿
(34)
>
教师之家
(33)
>
考研
(29)
>
博后之家
(26)
>
基金申请
(23)
>
论文道贺祈福
(22)
>
绿色求助(高悬赏)
(22)
>
公派出国
(22)
>
有机资源
(16)
小木虫论坛-学术科研互动平台
»
计算模拟区
»
计算模拟
»
求助想画个图改用什么方法?
4
1/1
返回列表
查看: 849 | 回复: 3
只看楼主
@他人
存档
新回复提醒
(忽略)
收藏
在APP中查看
dubtt
银虫
(小有名气)
应助: 0
(幼儿园)
金币: 173.4
散金: 4
帖子: 131
在线: 26小时
虫号: 1207975
注册: 2011-02-21
性别:
MM
专业: 化学反应工程
[
求助
]
求助想画个图改用什么方法?
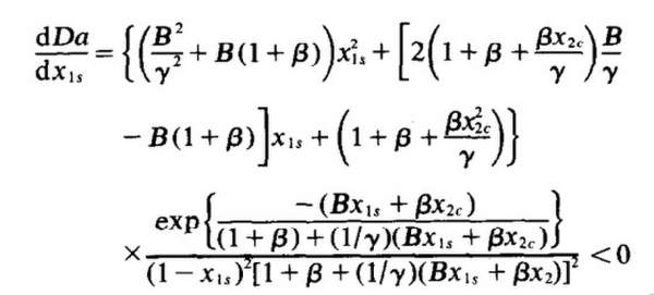
想画个如图所示的曲线,方程里参数太多,找起来也不太现实,想画个这样的图什么思路比较好,求指教
曲线图.jpg
曲线方程.jpg
回复此楼
» 猜你喜欢
深圳大学2026年秋博士招生-物理学-活性胶体方向-高永祥课题组
已经有18人回复
论物质与能量的统一模型及物理现象解释
已经有0人回复
物理学I论文润色/翻译怎么收费?
已经有217人回复
基于基元I统一理论的数学相关应用推导
已经有0人回复
基元I统一理论:宇宙本质、层级演化与修炼文明的本源规律
已经有1人回复
基元I理论下三大核心空间现象精准推导与细节解析
已经有0人回复
基于基元 I 统一理论的反重力理论推导
已经有0人回复
基于基元I统一理论的量子力学本源推导
已经有1人回复
推荐一款可以AI辅助写作的Latex编辑器SmartLatexEditor,超级好用,AI润色,全免费
已经有20人回复
【EI|Scopus 双检索】第六届智能机器人系统国际会议(ISoIRS 2026)
已经有0人回复
2026年第四届电动车与车辆工程国际会议(CEVVE 2026)
已经有0人回复
» 本主题相关价值贴推荐,对您同样有帮助:
求助各位,这种曲面图是用什么软件画出来的
已经有3人回复
画图:渐变色的图是用什么软件画的?求帮忙!(有图)
已经有3人回复
求高手帮忙画个ZnGa2O4的晶型结构图(尖晶石结构的)
已经有21人回复
求助,类似下图这样的球棍模型是用什么软件画的啊?
已经有9人回复
求助:用什么软件可以画出下面的图(就这么多金币了)
已经有12人回复
什么工具能够画这样的图
已经有4人回复
求助碳纳米管改用什么软件画呀,不胜感激
已经有22人回复
【求助】用CAD画流程图的细节问题
已经有16人回复
【求助】怎样用origin画出三维图?
已经有16人回复
【求助】请问咱学化学的最常用的画图软件有哪些,趁着这假期想抽空学习一下
已经有20人回复
【求助】请问这样的3D 球图是用什么软件画的?
已经有12人回复
【求助】tecplot能否自己导入一个txt数据画一个三维图?
已经有13人回复
【求助】这种机理图是用什么软件画的?
已经有12人回复
【求助】用solidworks画图
已经有15人回复
【求助】画能带图
已经有9人回复
【求助】请教如何用matlab画出矢量图?
已经有3人回复
【求助】电力电子的波形用什么软件画较好
已经有14人回复
求助:用什么软件能画三元相图
已经有11人回复
求助:这个彩色的图片是用什么软件画的?
已经有9人回复
1楼
2013-10-21 10:36:09
已阅
回复此楼
关注TA
给TA发消息
送TA红花
TA的回帖
月只蓝
主管区长
(职业作家)
专家经验: +1059
计算强帖: 8
应助: 1712
(讲师)
贵宾: 8.888
金币: 68125.7
散金: 1938
红花: 443
沙发: 4
帖子: 4373
在线: 3291.4小时
虫号: 1122189
注册: 2010-10-14
专业: 宇宙学
管辖:
计算模拟区
【答案】应助回帖
★ ★ ★ ★ ★ ★
感谢参与,应助指数 +1
csgt0: 金币+1, 谢谢
2013-10-22 09:31:17
dubtt: 金币+5,
★★★
很有帮助, word可以画成这样?那我还是用cad尝试画一下吧,谢谢啦
2013-10-23 15:14:11
解常微分方程;
画曲线;
画出Xs=s1的平行线。
赞
一下
回复此楼
MATLAB、MS小问题、普通问题请发帖求助!时间精力有限,恕不接受无偿私信求助。
2楼
2013-10-21 13:28:37
已阅
回复此楼
关注TA
给TA发消息
送TA红花
TA的回帖
dubtt
银虫
(小有名气)
应助: 0
(幼儿园)
金币: 173.4
散金: 4
帖子: 131
在线: 26小时
虫号: 1207975
注册: 2011-02-21
性别:
MM
专业: 化学反应工程
引用回帖:
2楼
:
Originally posted by
月只蓝
at 2013-10-21 13:28:37
解常微分方程;
画曲线;
画出Xs=s1的平行线。
解常微分方程太麻烦了而且很多常数不知道大小啊
赞
一下
回复此楼
3楼
2013-10-21 14:08:33
已阅
回复此楼
关注TA
给TA发消息
送TA红花
TA的回帖
月只蓝
主管区长
(职业作家)
专家经验: +1059
计算强帖: 8
应助: 1712
(讲师)
贵宾: 8.888
金币: 68125.7
散金: 1938
红花: 443
沙发: 4
帖子: 4373
在线: 3291.4小时
虫号: 1122189
注册: 2010-10-14
专业: 宇宙学
管辖:
计算模拟区
引用回帖:
3楼
:
Originally posted by
dubtt
at 2013-10-21 14:08:33
解常微分方程太麻烦了而且很多常数不知道大小啊...
那你的意思是画个示意图吗?如果是的话,word就可以画了,更专业点用CAD。
赞
一下
(1人)
回复此楼
MATLAB、MS小问题、普通问题请发帖求助!时间精力有限,恕不接受无偿私信求助。
4楼
2013-10-21 15:26:52
已阅
回复此楼
关注TA
给TA发消息
送TA红花
TA的回帖
相关版块跳转
第一性原理
量子化学
计算模拟
分子模拟
仿真模拟
程序语言
我要订阅楼主
dubtt
的主题更新
4
1/1
返回列表
如果回帖内容含有宣传信息,请如实选中。否则帐号将被全论坛禁言
普通表情
龙
兔
虎
猫
百度网盘
|
360云盘
|
千易网盘
|
华为网盘
在新窗口页面中打开自己喜欢的网盘网站,将文件上传后,然后将下载链接复制到帖子内容中就可以了。
信息提示
关闭
请填处理意见
关闭
确定