| ²é¿´: 335 | »Ø¸´: 1 | ||
¶ã¶ã»¨¶ùÒø³æ (³õÈëÎÄ̳)
|
[ÇóÖú]
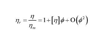
Einstein»ùÓÚ²¼ÀÊÔ˶¯ÍƳöµÄ·½³Ì
|
|
ÇóÖú£ºEinstein»ùÓÚ²¼ÀÊÔ˶¯ÍƳöµÄ·½³Ì£¬¸÷Ïî¶¼±íʾʲôÒâ˼°¡£¿Ï£ÍûÖªµÀµÄ³æÓѾ¡¿ì¸øÓë°ïÖú£¬Ð»Ð»Ð»Ð»£¡ Q(SXPNW~%6~4)NO`}V3JH9T.jpg |
» ²ÂÄãϲ»¶
085600£¬²ÄÁÏÓ뻯¹¤321·Ö£¬Çóµ÷¼Á
ÒѾÓÐ13È˻ظ´
311Çóµ÷¼Á
ÒѾÓÐ8È˻ظ´
348Çóµ÷¼Á
ÒѾÓÐ3È˻ظ´
0805Çóµ÷¼Á
ÒѾÓÐ8È˻ظ´
266·Ö£¬Ò»Ö¾Ô¸µçÆø¹¤³Ì£¬±¾¿Æ²ÄÁÏ£¬Çó²ÄÁÏרҵµ÷¼Á
ÒѾÓÐ3È˻ظ´
385·Ö ÉúÎïѧ£¨071000£©Çóµ÷¼Á
ÒѾÓÐ6È˻ظ´
²ÄÁϵ÷¼Á
ÒѾÓÐ3È˻ظ´
Ò»Ö¾Ô¸±±½»´ó²ÄÁϹ¤³Ì×Ü·Ö358
ÒѾÓÐ9È˻ظ´
311Çóµ÷¼Á
ÒѾÓÐ12È˻ظ´
319Çóµ÷¼Á
ÒѾÓÐ11È˻ظ´

BeastÎåÒ¯
Ìú³æ (³õÈëÎÄ̳)
- Ó¦Öú: 0 (Ó×¶ùÔ°)
- ½ð±Ò: 137.5
- Ìû×Ó: 24
- ÔÚÏß: 10.3Сʱ
- ³æºÅ: 2730486
- ×¢²á: 2013-10-16
- ÐÔ±ð: GG
- רҵ: ½á¹¹ÌÕ´É

2Â¥2013-10-21 11:15:51














»Ø¸´´ËÂ¥