²é¿´: 392  |  »Ø¸´: 1

renxiaoli19

Í­³æ (³õÈëÎÄ̳)

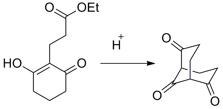
[ÇóÖú] ÇóÖúÒ»¸ö·´Ó¦µÄ»úÀí£¬¼±£¡Ð»Ð»¸÷λ

Õâ¸ö·´Ó¦µÄ¿ÉÄÜ»úÀíÊÇÇ׺˷´Ó¦Ã´£¬¾ßÌåÊÇÔõô½ø¹¥µÄ£¬Çë¶®Õâ·½ÃæµÄÈËÊ¿¸øÓè½â´ð£¬×îºÃÓÐͼƬµÄ£¬Ð»Ð»ÁË£¬±¾ÈËÊǸö»úÀíä¡£¡£¡£²»Ì«¶®

ÇóÖúÒ»¸ö·´Ó¦µÄ»úÀí£¬¼±£¡Ð»Ð»¸÷λ
untitledNaH.gif
»Ø¸´´ËÂ¥

» ²ÂÄãϲ»¶

» ±¾Ö÷ÌâÏà¹Ø¼ÛÖµÌùÍÆ¼ö£¬¶ÔÄúͬÑùÓаïÖú:

ÒÑÔÄ   »Ø¸´´ËÂ¥   ¹Ø×¢TA ¸øTA·¢ÏûÏ¢ ËÍTAºì»¨ TAµÄ»ØÌû

tango_lizy

½ð³æ (ÕýʽдÊÖ)

Ò©½³Ñ§Í½

¡¾´ð°¸¡¿Ó¦Öú»ØÌû

¡ï ¡ï
udarling: ½ð±Ò+2, ¹ÄÀø½»Á÷£¬»¶Ó­³£À´£¡ 2013-10-26 16:44:18
ËáÐÔ»úÀí£¬õ¥»ùµÄÑõ·ý»ñһöÖÊ×Ó£¬È»ºó»·ÉÏôÊ»ù°¢¶û·¨Î´ÖªµÄ̼½ø¹¥õ¥»ù£¬õ¥»ùÉϵÄÒÒ´¼ÀëÈ¥£¬Ï©´¼×Ô¼º±ä³ÉôÊ»ù
Ò½Ò©¼¼ÊõÐÐÒµÈËÂöȺ110641497£¬»¶Ó­ÒµÄÚÈËÊ¿¼ÓÈ룡
2Â¥2013-10-26 16:28:30
ÒÑÔÄ   »Ø¸´´ËÂ¥   ¹Ø×¢TA ¸øTA·¢ÏûÏ¢ ËÍTAºì»¨ TAµÄ»ØÌû
Ïà¹Ø°æ¿éÌø×ª ÎÒÒª¶©ÔÄÂ¥Ö÷ renxiaoli19 µÄÖ÷Ìâ¸üÐÂ
×î¾ßÈËÆøÈÈÌûÍÆ¼ö [²é¿´È«²¿] ×÷Õß »Ø/¿´ ×îºó·¢±í
[¿¼ÑÐ] Çóµ÷¼Á£¬Ò»Ö¾Ô¸:ÄϾ©º½¿Õº½Ìì´óѧ´óѧ £¬080500²ÄÁÏ¿ÆÑ§Ó빤³Ìѧ˶£¬×Ü·Ö289·Ö +5 @taotao 2026-03-19 5/250 2026-03-24 21:07 by greychen00
[¿¼ÑÐ] Çóµ÷¼Á323²ÄÁÏÓ뻯¹¤ +3 1124361 2026-03-24 3/150 2026-03-24 20:24 by peike
[¿¼ÑÐ] 0854µç×ÓÐÅÏ¢Çóµ÷¼Á +6 ¦Á____ 2026-03-22 7/350 2026-03-24 19:46 by sunjie8888
[¿¼ÑÐ] 340Çóµ÷¼Á +3 »°Ã·ÌÇ111 2026-03-24 3/150 2026-03-24 17:47 by hyzs6688
[¿¼ÑÐ] Çóµ÷¼Á +6 ÑÐÑУ¬½Óµç»° 2026-03-24 7/350 2026-03-24 17:01 by barlinike
[¿¼ÑÐ] 292Çóµ÷¼Á +4 ¶ì¶ì¶ì¶î¶î¶î¶î¶ 2026-03-24 4/200 2026-03-24 16:41 by peike
[¿¼ÑÐ] 344Çóµ÷¼Á +3 desto 2026-03-24 3/150 2026-03-24 10:09 by ²«»÷518
[¿¼ÑÐ] 384Çóµ÷¼Á +3 ×Óϵ²© 2026-03-22 6/300 2026-03-23 21:45 by ×Óϵ²©
[¿¼ÑÐ] 333Çóµ÷¼Á +3 ALULU4408 2026-03-23 3/150 2026-03-23 19:04 by macy2011
[¿¼ÑÐ] 0854µç×ÓÐÅÏ¢Çóµ÷¼Á 324 +3 Promise-jyl 2026-03-23 3/150 2026-03-23 13:43 by wangkm
[¿¼ÑÐ] ²ÄÁÏÓ뻯¹¤085600£¬×Ü·Ö304£¬±¾¿ÆÓÐÁ½Æªsci²ÎÓ룬Çóµ÷¼Á +4 ÐÒÔ˵Ľ´½´ 2026-03-22 5/250 2026-03-22 20:15 by edmund7
[¿¼ÑÐ] 289Çóµ÷¼Á +7 »³èªÎÕè¤l 2026-03-20 7/350 2026-03-22 15:57 by ColorlessPI
[¿¼ÑÐ] 286Çóµ÷¼Á +10 Faune 2026-03-21 10/500 2026-03-21 23:34 by 314126402
[¿¼ÑÐ] ¿¼Ñе÷¼Á +3 ºôºô£¿~+123456 2026-03-21 3/150 2026-03-21 20:04 by Î޼ʵIJÝÔ­
[¿¼ÑÐ] Ò»Ö¾Ô¸ÄÏ´ó£¬0703»¯Ñ§£¬·ÖÊý336£¬Çóµ÷¼Á +3 ÊÕµ½VS 2026-03-21 3/150 2026-03-21 18:42 by ѧԱ8dgXkO
[¿¼ÑÐ] 297Çóµ÷¼Á +11 Ï·¾«µ¤µ¤µ¤ 2026-03-17 12/600 2026-03-21 17:47 by ColorlessPI
[¿¼ÑÐ] 0703»¯Ñ§297Çóµ÷¼Á +3 Daisy¡î 2026-03-20 3/150 2026-03-21 17:45 by ColorlessPI
[¿¼ÑÐ] 330Çóµ÷¼Á0854 +3 assdll 2026-03-21 3/150 2026-03-21 13:01 by ²«»÷518
[¿¼ÑÐ] AÇøÏß²ÄÁÏѧµ÷¼Á +5 ÖÜÖÜÎÞ¼« 2026-03-20 5/250 2026-03-20 21:33 by laoshidan
[¿¼ÑÐ] 0856µ÷¼Á£¬ÊÇѧУ¾ÍÈ¥ +8 sllhht 2026-03-19 9/450 2026-03-20 14:25 by ÎÞи¿É»÷111
ÐÅÏ¢Ìáʾ
ÇëÌî´¦ÀíÒâ¼û