24小时热门版块排行榜    

北京石油化工学院2026年研究生招生接收调剂公告
查看: 278  |  回复: 0

ddvsh

新虫 (小有名气)

[求助] 两种介质情况下的pml参数设置

我要模拟的是两种导电介质的界面
三个方向上边界我都要用PML吸收条件。

见附件1

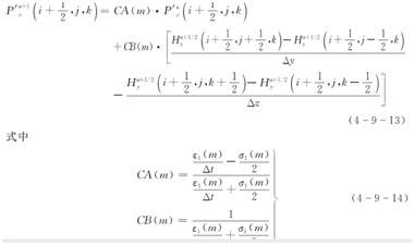
在葛德彪老师的中,导电介质的PML边界公式中P’与H的关系式为:

见附件2
这个系数中均含有材料的介电常数和电导率值。对于z方向上的上方pml区域里介电常数和电导率我知道是取蓝色介质的值,对于z方向下方pml区域中的介电常数和电导率是取红色介质的值。但是对于x方向和y方向pml区域中系数的设置我就不是很清楚了,因为这两个方向上的pml区域连接主区域的边界是不均匀介质(一半是蓝色一半是红色)。请问这情况下系数中的介电常数和电导率是否就将连接面上整个二维值分布取出来赋值进去就可以了啊,或者是取连接界面上的平均有效介电常数呢?

另外,正如我上面提到的情况,x方向和y方向上的pml区域中由于介电常数不连续,那么在这里设置pml区域电导率的时候,其中涉及到的介电常数(含在阻抗eta中)应该怎么选取呢。我看到talflove书上说这种情况应该将电导率用有效介电常数归一化,否则如果采用分段介电常数的话,就会出现反射。那么具体的公式,x方向的eta就从eta=sqrt(mu0/e0)*sqrt(mur/epsr)变成了eta=sqrt(mu0/e0*epsr*mur);是不是这样啊。另外,这种情况下有效介电常数该如何计算呢。
请高手帮帮忙啊。最近一直在纠结这个问题。谢谢了。
两种介质情况下的pml参数设置
123.jpg


两种介质情况下的pml参数设置-1
456.jpg
回复此楼
已阅   回复此楼   关注TA 给TA发消息 送TA红花 TA的回帖
相关版块跳转 我要订阅楼主 ddvsh 的主题更新
最具人气热帖推荐 [查看全部] 作者 回/看 最后发表
[考研] 调剂310 +6 温柔的晚安 2026-03-25 7/350 2026-03-28 16:04 by qq2000
[考研] 275求调剂 +10 Micky11223 2026-03-25 14/700 2026-03-28 15:48 by Micky11223
[考研] 304求调剂 +6 曼殊2266 2026-03-27 6/300 2026-03-28 14:10 by 唐沐儿
[考研] 322求调剂 +5 旧吢 2026-03-24 5/250 2026-03-28 13:26 by Iveryant
[考研] 0703一志愿9,初试成绩:338,四六级已过,有科研经历,求调剂! +4 Zuhui0306 2026-03-25 4/200 2026-03-28 13:07 by 唐沐儿
[考研] 291求调剂 +6 HanBeiNingZC 2026-03-24 6/300 2026-03-28 07:55 by baoball
[考研] 材料292调剂 +12 橘颂思美人 2026-03-23 12/600 2026-03-27 15:44 by caszguilin
[考研] 279 分 求调剂 +4 睡个好觉_16 2026-03-24 4/200 2026-03-27 15:05 by 醉在风里
[考研] 298调剂 +3 jiyingjie123 2026-03-27 3/150 2026-03-27 11:57 by wxiongid
[考研] 314求调剂 +3 溪云珂 2026-03-26 3/150 2026-03-27 11:20 by sanrepian
[考研] 284求调剂 +11 junqihahaha 2026-03-26 12/600 2026-03-27 04:37 by wxiongid
[考研] 342求调剂 +3 加油a李zs 2026-03-26 3/150 2026-03-27 00:29 by wxiongid
[考研] 081200-11408-276学硕求调剂 +3 崔wj 2026-03-26 3/150 2026-03-26 19:57 by nihaoar
[考研] 中国科学院深圳先进技术研究院-光纤传感课题组招生-中国科学院大学、深圳理工大学联培 +5 YangTyu1 2026-03-26 5/250 2026-03-26 18:27 by 猫咪猫咪呀
[考研] 材料考研求调剂 +3 Dendel 2026-03-23 6/300 2026-03-26 17:51 by fmesaito
[考研] 334分 一志愿武理 材料求调剂 +4 李李不服输 2026-03-26 4/200 2026-03-26 16:00 by 不吃魚的貓
[考研] 化学调剂一志愿上海交通大学336分-本科上海211 +4 小鱼爱有机 2026-03-25 4/200 2026-03-26 10:19 by aa331100
[考研] 考研调剂 +6 来好运来来来 2026-03-21 7/350 2026-03-25 22:43 by 418490947
[考研] 一志愿吉林大学材料与化工303分求调剂 +4 为学666 2026-03-24 4/200 2026-03-25 11:27 by BruceLiu320
[考研] 求老师收我 +3 zzh16938784 2026-03-23 3/150 2026-03-23 12:56 by ztnimte
信息提示
请填处理意见