| 查看: 681 | 回复: 3 | |||||
[交流]
有关分析力学当中的一个题,和开普勒有关的,怎么找都解不开,千古之谜 已有1人参与
|
|
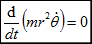
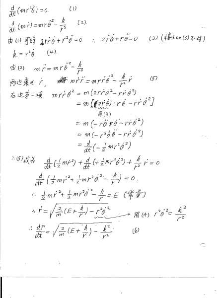
解方程 图一和图二 表示出r 和 cita的表达式子 做到一半就卡下来了。。。。还可以用的式子是图三和图四,是我自己推出来的,图四是已经验证是正确的了,把图四带到图三里是正确的。。。 据说是用转换变量的方式但是。。。。 r=1/u来转换呵呵呵。。。。之后永远推不到du。。。啊啊 啊 崩溃!!!!求助1!!!!! 图片1.png 图片2.png 图片3.png 图片4.png |
» 收录本帖的淘帖专辑推荐
茶余酒后 | 收集的 |
» 猜你喜欢
版面费该交吗
已经有8人回复
售SCI一区文章,我:8 O5 51O 54,科目齐全,可+急
已经有5人回复
售SCI一区文章,我:8 O5 51O 54,科目齐全,可+急
已经有3人回复
基金正文30页指的是报告正文还是整个申请书
已经有6人回复
面上可以超过30页吧?
已经有4人回复
过年走亲戚时感受到了所开私家车的鄙视链
已经有12人回复
为什么中国大学教授们水了那么多所谓的顶会顶刊,但还是做不出宇树机器人?
已经有5人回复
售SCI一区文章,我:8 O5 51O 54,科目齐全,可+急
已经有4人回复
售SCI一区文章,我:8 O5 51O 54,科目齐全,可+急
已经有6人回复
售SCI一区文章,我:8 O5 51O 54,科目齐全,可+急
已经有6人回复
2楼2013-10-02 08:00:30
3楼2013-10-03 01:51:42
4楼2013-10-04 08:34:19













回复此楼
chengduyq