| ²é¿´: 601 | »Ø¸´: 5 | ||
ÒÁï£Í³æ (ÕýʽдÊÖ)
|
[ÇóÖú]
EIS·ÖÎö
|
|
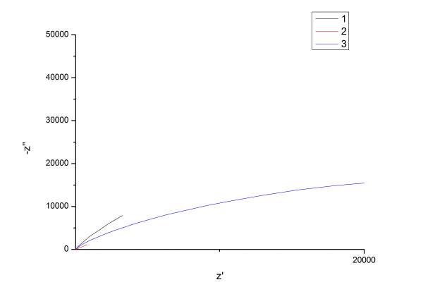
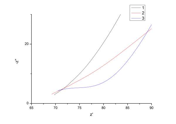
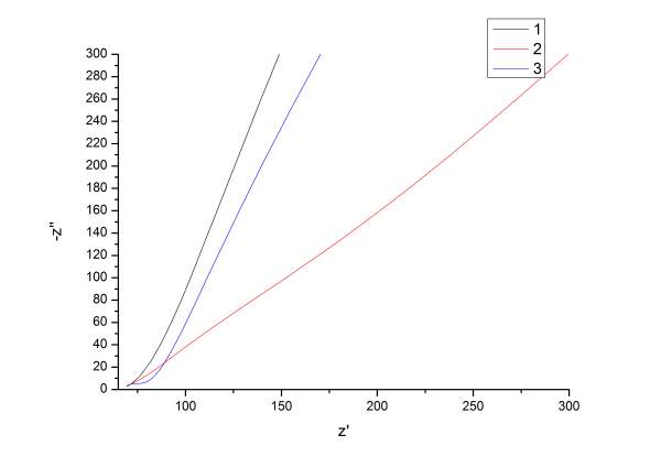
ÏÂÃæÊÇÎÒ²âµÃ²»Í¬ÑùÆ·µÄEIS ,½«È«Æ×ºÍ¸ßƵµÄͼ¶¼·ÅÉÏÀ´£¬´ó¼Ò°ïÖú·ÖÎöһϰɣ¬ÄĸöÑùÆ·µÄ×迹С£¿ ¸ßƵ.jpg Á½ÕßÖ®¼ä.jpg È«Æ×.jpg |
» ²ÂÄãϲ»¶
070300Ò»Ö¾Ô¸211£¬312·ÖÇóµ÷¼ÁԺУ
ÒѾÓÐ14È˻ظ´
26Äê´¢ÄÜ¡¢µç³Ø·½Ïò²©Ê¿ÉêÇë
ÒѾÓÐ2È˻ظ´
·ÖÎö»¯Ñ§ÂÛÎÄÈóÉ«/·ÒëÔõôÊÕ·Ñ?
ÒѾÓÐ112È˻ظ´
070300»¯Ñ§Çóµ÷¼Á
ÒѾÓÐ13È˻ظ´
Çൺ´óѧ»¯Ñ§»¯¹¤Ñ§Ôº2026ÄêÕÐÊÕµ÷¼Á˶ʿÑо¿Éú
ÒѾÓÐ0È˻ظ´
±±·½¹¤Òµ´óѧ085808´¢Äܼ¼Êõ-02·½Ïò£¨µç³Ø£©½ÓÊÕµ÷¼ÁÉú
ÒѾÓÐ0È˻ظ´
272Çóµ÷¼Á£¬½ÓÊÜ¿çרҵµ÷¼Á£¡
ÒѾÓÐ3È˻ظ´
ÓÐÒ»ÇøTOPÂÛÎÄ£¬Çóµ÷¼Á
ÒѾÓÐ22È˻ظ´
´óÁ¬¹¤Òµ´óѧ½ÜÇà/³¤½ÍŶÓ-ÉúÎïÖʲÄÁÏ-´¢ÄÜµç³Ø·½ÏòÕÐÊÕ2026¼¶²©Ê¿Éú
ÒѾÓÐ14È˻ظ´
2026¹óÖÝ´óѧ²©Ê¿ÕÐÉú
ÒѾÓÐ0È˻ظ´
Çൺ´óѧ»¯Ñ§»¯¹¤Ñ§Ôº2026ÄêÕÐÊÕµ÷¼Á˶ʿÑо¿Éú
ÒѾÓÐ0È˻ظ´
zxw198612
ͳæ (ÕýʽдÊÖ)
- Ó¦Öú: 34 (СѧÉú)
- ½ð±Ò: 437.6
- ºì»¨: 1
- Ìû×Ó: 316
- ÔÚÏß: 86.7Сʱ
- ³æºÅ: 1947124
- ×¢²á: 2012-08-20
- ÐÔ±ð: GG
- רҵ: ÄÜÔ´»¯¹¤
2Â¥2013-09-14 14:41:37
zxw198612
ͳæ (ÕýʽдÊÖ)
- Ó¦Öú: 34 (СѧÉú)
- ½ð±Ò: 437.6
- ºì»¨: 1
- Ìû×Ó: 316
- ÔÚÏß: 86.7Сʱ
- ³æºÅ: 1947124
- ×¢²á: 2012-08-20
- ÐÔ±ð: GG
- רҵ: ÄÜÔ´»¯¹¤
3Â¥2013-09-14 14:42:12
ÒÁï£
ͳæ (ÕýʽдÊÖ)
- Ó¦Öú: 0 (Ó×¶ùÔ°)
- ½ð±Ò: 14.4
- É¢½ð: 49
- ºì»¨: 2
- Ìû×Ó: 670
- ÔÚÏß: 208.9Сʱ
- ³æºÅ: 570531
- ×¢²á: 2008-06-07
- ÐÔ±ð: MM
- רҵ: ÈÈÁ¦Ñ§
4Â¥2013-09-16 09:20:47
zxw198612
ͳæ (ÕýʽдÊÖ)
- Ó¦Öú: 34 (СѧÉú)
- ½ð±Ò: 437.6
- ºì»¨: 1
- Ìû×Ó: 316
- ÔÚÏß: 86.7Сʱ
- ³æºÅ: 1947124
- ×¢²á: 2012-08-20
- ÐÔ±ð: GG
- רҵ: ÄÜÔ´»¯¹¤
5Â¥2013-09-16 09:45:37
ÒÁï£
ͳæ (ÕýʽдÊÖ)
- Ó¦Öú: 0 (Ó×¶ùÔ°)
- ½ð±Ò: 14.4
- É¢½ð: 49
- ºì»¨: 2
- Ìû×Ó: 670
- ÔÚÏß: 208.9Сʱ
- ³æºÅ: 570531
- ×¢²á: 2008-06-07
- ÐÔ±ð: MM
- רҵ: ÈÈÁ¦Ñ§
6Â¥2013-09-18 17:55:17














»Ø¸´´ËÂ¥