| 查看: 672 | 回复: 2 | |||
[求助]
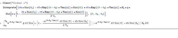
mathmaticas求积分,没有结果
|
|||
|
|
|||
jerkwin专家顾问 (正式写手)
|
|||
|
2楼2013-09-09 22:33:51
|
|
||
yuscale金虫 (正式写手)
|
|||
|
3楼2013-09-13 08:25:17
|
|














回复此楼