| ²é¿´: 1390 | »Ø¸´: 1 | ||
yilley½ð³æ (ÕýʽдÊÖ)
|
[ÇóÖú]
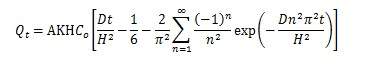
ÇëÎÊoriginÄÜÄâºÏ·Æ¿ËµÚ¶þ¶¨ÂÉÂð£¿
|
|
×î½üдÎÄÕÂÐèÒªÄâºÏ·Æ¿ËµÚ¶þ¶¨ÂÉ£¬²»ÖªµÀoriginÄܲ»ÄÜÄâºÏ£¬Èç¹û²»ÄÜ£¬ÓÃʲôÈí¼þ±È½ÏºÃÓÃÄØ L[`}8K1`}@{{~TDNIV)~JNL.jpg |
» ²ÂÄãϲ»¶
22ר˶Çóµ÷¼Á
ÒѾÓÐ11È˻ظ´
284Çóµ÷¼Á
ÒѾÓÐ20È˻ظ´
291Çóµ÷¼Á
ÒѾÓÐ7È˻ظ´
296Çóµ÷¼Á
ÒѾÓÐ5È˻ظ´
Ò»Ö¾Ô¸»¦9£¬ÉúÎïѧ326Çóµ÷¼Á
ÒѾÓÐ4È˻ظ´
ÉúÎïѧµ÷¼Á
ÒѾÓÐ8È˻ظ´
22408 312Çóµ÷¼Á
ÒѾÓÐ19È˻ظ´
26Äêµç³Ø·½Ïò²©Ê¿ÉêÇë
ÒѾÓÐ4È˻ظ´
0854µ÷¼Á
ÒѾÓÐ16È˻ظ´
ɽ¶«Ê¡»ù½ð2026
ÒѾÓÐ13È˻ظ´
» ±¾Ö÷ÌâÏà¹Ø¼ÛÖµÌùÍÆ¼ö£¬¶ÔÄúͬÑùÓаïÖú:
ÇëÎÊÓÐÈË»áÓÃoriginÄâºÏÊý¾ÝÓÃ×Ô¶¨ÒåµÄ¹«Ê½Ã´£¿¼±¼±£¡
ÒѾÓÐ8È˻ظ´
ÇëÎÊÈçºÎʵÏÖExcel»òÕßorigin ×ö¸ß˹ÄâºÏµÄÄ£°å£¬
ÒѾÓÐ6È˻ظ´
ÇëÎÊorigin8.0ÇúÏßÄâºÏÎÊÌâ
ÒѾÓÐ5È˻ظ´

Ray¡£¡£
ͳæ (ÕýʽдÊÖ)
- Ó¦Öú: 4 (Ó×¶ùÔ°)
- ½ð±Ò: 185.9
- É¢½ð: 15
- ºì»¨: 4
- Ìû×Ó: 405
- ÔÚÏß: 273.2Сʱ
- ³æºÅ: 7512471
- ×¢²á: 2017-11-23
- ÐÔ±ð: MM
- רҵ: Ò©Îï·ÖÎö

2Â¥2018-04-08 08:20:10














»Ø¸´´ËÂ¥
10