24小时热门版块排行榜    

查看: 1846  |  回复: 7

foxetfoxet

金虫 (小有名气)

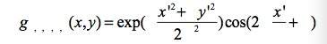
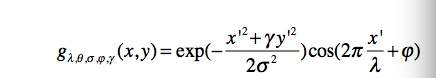
[求助] 有没有人知道为什么投稿系统转换doc为pdf后公式改变

有没有人知道为什么投稿系统转换doc为pdf后。。。我mathtype写的公式有的符号都不能显示
有没有人知道为什么投稿系统转换doc为pdf后公式改变
她2.jpg


有没有人知道为什么投稿系统转换doc为pdf后公式改变-1
他.jpg
回复此楼

» 猜你喜欢

» 本主题相关价值贴推荐,对您同样有帮助:

已阅   回复此楼   关注TA 给TA发消息 送TA红花 TA的回帖

michael_mj

铜虫 (小有名气)

【答案】应助回帖

感谢参与,应助指数 +1
是不是打印分辨率的问题,调低些呢?
持之以恒
2楼2013-09-05 10:34:44
已阅   回复此楼   关注TA 给TA发消息 送TA红花 TA的回帖

foxetfoxet

金虫 (小有名气)

引用回帖:
2楼: Originally posted by michael_mj at 2013-09-05 10:34:44
是不是打印分辨率的问题,调低些呢?

不是的。。。
3楼2013-09-05 16:03:47
已阅   回复此楼   关注TA 给TA发消息 送TA红花 TA的回帖

nono2009

超级版主 (文学泰斗)

No gains, no pains.

优秀区长优秀区长优秀区长优秀区长优秀版主

【答案】应助回帖

感谢参与,应助指数 +1
国外软件都是花钱买的,所以更新比较慢,用WORD自带的比较低版本的公式编辑器最可靠
4楼2013-09-05 16:06:22
已阅   回复此楼   关注TA 给TA发消息 送TA红花 TA的回帖

darvincy

木虫 (正式写手)

【答案】应助回帖

★ ★ ★ ★ ★
感谢参与,应助指数 +1
foxetfoxet: 金币+5, ★★★★★最佳答案, 谢谢。。是这个问题 2013-09-08 10:19:39
应该是字体的问题,你试试变更mathtype字符的字体试试。
哈哈
5楼2013-09-05 16:26:57
已阅   回复此楼   关注TA 给TA发消息 送TA红花 TA的回帖

扬起的帆

木虫 (著名写手)

【答案】应助回帖

感谢参与,应助指数 +1
应该是没有使用公式编辑器打进去的原因吧
6楼2013-09-05 16:29:32
已阅   回复此楼   关注TA 给TA发消息 送TA红花 TA的回帖

yoyoopop

木虫 (职业作家)

【答案】应助回帖

感谢参与,应助指数 +1
可以直接上传pdf吧
FORWARD,NOTBACK
7楼2013-09-05 17:12:52
已阅   回复此楼   关注TA 给TA发消息 送TA红花 TA的回帖

jinwei331

至尊木虫 (文坛精英)

【答案】应助回帖

感谢参与,应助指数 +1
还是使用WORD自带的公式编辑器好些。
8楼2013-09-05 19:40:28
已阅   回复此楼   关注TA 给TA发消息 送TA红花 TA的回帖
相关版块跳转 我要订阅楼主 foxetfoxet 的主题更新
最具人气热帖推荐 [查看全部] 作者 回/看 最后发表
[考研] 304求调剂 +3 曼殊2266 2026-03-14 3/150 2026-03-16 16:39 by houyaoxu
[考研] 311求调剂 +5 26研0 2026-03-15 5/250 2026-03-16 16:21 by a不易
[考研] 0703一志愿211 285分求调剂 +5 ly3471z 2026-03-13 5/250 2026-03-16 16:16 by 哦哦123
[考研] 070300化学学硕求调剂 +6 太想进步了0608 2026-03-16 6/300 2026-03-16 16:13 by kykm678
[考研] 材料与化工 323 英一+数二+物化,一志愿:哈工大 本人本科双一流 +4 自由的_飞翔 2026-03-13 5/250 2026-03-14 19:39 by hmn_wj
[考研] 267一志愿南京工业大学0817化工求调剂 +5 SUICHILD 2026-03-12 5/250 2026-03-14 14:53 by jean5056
[考研] 330求调剂 +3 ?酱给调剂跪了 2026-03-13 3/150 2026-03-14 10:13 by JourneyLucky
[考研] 266求调剂 +4 学员97LZgn 2026-03-13 4/200 2026-03-14 08:37 by zhukairuo
[考研] 云南财经大学信息学院计算机学硕专硕学位点 +3 zjptai 2026-03-10 5/250 2026-03-14 01:23 by 飞行琦
[考研] 311求调剂 +8 zchqwer 2026-03-10 8/400 2026-03-14 00:01 by JourneyLucky
[考研] 复试调剂 +9 Copy267 2026-03-10 9/450 2026-03-13 23:45 by userper
[考研] 0805,333求调剂 +3 112253525 2026-03-10 3/150 2026-03-13 23:42 by JourneyLucky
[考研] 材料371求调剂 +9 鳄鱼? 2026-03-11 11/550 2026-03-13 22:53 by JourneyLucky
[考研] 337一志愿华南理工0805材料求调剂 +7 mysdl 2026-03-11 9/450 2026-03-13 22:43 by JourneyLucky
[考研] 333求调剂 +3 球球古力 2026-03-11 3/150 2026-03-13 21:27 by JourneyLucky
[考研] 290求调剂 +7 ADT 2026-03-12 7/350 2026-03-13 15:17 by JourneyLucky
[论文投稿] 投稿问题 5+4 星光灿烂xt 2026-03-12 6/300 2026-03-13 14:17 by god_tian
[考研] 工科0856专硕化学工程269能调剂吗 +10 我想读研11 2026-03-10 10/500 2026-03-13 10:14 by Yuyi.
[考研] 290求调剂 +3 柯淮然 2026-03-10 8/400 2026-03-11 13:48 by 柯淮然
[考研] 0703化学调剂 +3 三dd. 2026-03-10 3/150 2026-03-10 15:45 by peike
信息提示
请填处理意见