| ²é¿´: 345 | »Ø¸´: 3 | |||
°®ºÞ¶¼ÒÑÇã³Çͳæ (³õÈëÎÄ̳)
|
[ÇóÖú]
Ëãʽ¼«ÖµÇó½â
|
|
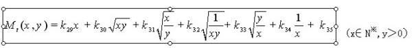
ÈçÏÂËãʽ£¬Çó´ïÈ˰ïæ¿´Ò»ÏÂÊÇ·ñ´æÔÚ¼«Öµ£¬ÆäÖÐx¡ÊN¡ù,y£¾0£¬ÀïÃæµÄϵÊý¾ùΪ´óÓÚ0µÄÕýÊý¡£ ]@V90_)[6UQV28X3QS95@4D.jpg |
» ²ÂÄãϲ»¶
312Çóµ÷¼Á
ÒѾÓÐ12È˻ظ´
ÉúÎïѧѧ˶£¬Ò»Ö¾Ô¸ºþÄÏ´óѧ£¬³õÊԳɼ¨338
ÒѾÓÐ3È˻ظ´
ѧ˶274Çóµ÷¼Á
ÒѾÓÐ3È˻ظ´
279Çóµ÷¼Á
ÒѾÓÐ6È˻ظ´
085701»·¾³¹¤³Ì£¬267Çóµ÷¼Á
ÒѾÓÐ3È˻ظ´
Öйú¿ÆÑ§ÔºÉîÛÚÏȽø¼¼ÊõÑо¿Ôº-¹âÏË´«¸Ð¿ÎÌâ×éÕÐÉú-Öйú¿ÆÑ§Ôº´óѧ¡¢ÉîÛÚÀí¹¤´óѧÁªÅà
ÒѾÓÐ5È˻ظ´
274Çóµ÷¼Á
ÒѾÓÐ20È˻ظ´
265Çóµ÷¼Á
ÒѾÓÐ16È˻ظ´
²ÄÁÏÓ뻯¹¤304ÇóBÇøµ÷¼Á
ÒѾÓÐ6È˻ظ´
321Çóµ÷¼Á
ÒѾÓÐ5È˻ظ´
feixiaolin
ÈÙÓþ°æÖ÷ (ÎÄ̳¾«Ó¢)
-

ר¼Ò¾Ñé: +518 - Ó¦Öú: 942 (²©ºó)
- ¹ó±ö: 1.275
- ½ð±Ò: 3880
- É¢½ð: 58785
- ºì»¨: 532
- ɳ·¢: 11
- Ìû×Ó: 24215
- ÔÚÏß: 2601.8Сʱ
- ³æºÅ: 2139575
- ×¢²á: 2012-11-21
- רҵ: ¹âѧÐÅÏ¢»ñÈ¡Óë´¦Àí
- ¹ÜϽ: Êýѧ
2Â¥2013-09-02 19:22:43
°®ºÞ¶¼ÒÑÇã³Ç
ͳæ (³õÈëÎÄ̳)
- Ó¦Öú: 4 (Ó×¶ùÔ°)
- ½ð±Ò: 456.8
- ºì»¨: 1
- Ìû×Ó: 49
- ÔÚÏß: 41.6Сʱ
- ³æºÅ: 2253019
- ×¢²á: 2013-01-21
- רҵ: µç»¯Ñ§
3Â¥2013-09-03 10:12:47
°®ºÞ¶¼ÒÑÇã³Ç
ͳæ (³õÈëÎÄ̳)
- Ó¦Öú: 4 (Ó×¶ùÔ°)
- ½ð±Ò: 456.8
- ºì»¨: 1
- Ìû×Ó: 49
- ÔÚÏß: 41.6Сʱ
- ³æºÅ: 2253019
- ×¢²á: 2013-01-21
- רҵ: µç»¯Ñ§
4Â¥2013-09-03 10:18:49













»Ø¸´´ËÂ¥