| ²é¿´: 1992 | »Ø¸´: 3 | ||
dong1059ľ³æ (ÖøÃûдÊÖ)
|
[ÇóÖú]
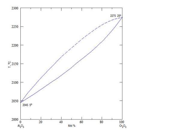
ÇóÖúCr2O3-Al2O3¶þÔªÌåϵÏàͼ
|
| ÇóÖúCr2O3-Al2O3¶þÔªÌåϵÏàͼ¡£²»ÖªÄÄλ³æÓÑÓдË×ÊÔ´£¿ |
» ²ÂÄãϲ»¶
¸£Àí¹¤µ÷¼Á
ÒѾÓÐ0È˻ظ´
¸£Àí¹¤µ÷¼Á
ÒѾÓÐ0È˻ظ´
Ò±½ðÓë¿óÒµÂÛÎÄÈóÉ«/·ÒëÔõôÊÕ·Ñ?
ÒѾÓÐ129È˻ظ´
¸£Àí¹¤µ÷¼Á
ÒѾÓÐ0È˻ظ´
¸£Àí¹¤µ÷¼Á
ÒѾÓÐ0È˻ظ´
¸£Àí¹¤µ÷¼Á
ÒѾÓÐ0È˻ظ´
¸£Àí¹¤µ÷¼Á
ÒѾÓÐ0È˻ظ´
ÕÐÊÕ2026¼¶ÉêÇëÉóºËÖÆ²©Ê¿Ñо¿Éú£¬Ì¼»ùµç»¯Ñ§´¢ÄܲÄÁÏ£¬ÏËÎ¬ËØ¹¦ÄܲÄÁÏ·½Ïò
ÒѾÓÐ2È˻ظ´
¸£Àí¹¤µ÷¼Á
ÒѾÓÐ0È˻ظ´
¸£Àí¹¤µ÷¼Á
ÒѾÓÐ0È˻ظ´
¸£Àí¹¤µ÷¼Á
ÒѾÓÐ1È˻ظ´
» ±¾Ö÷ÌâÏà¹Ø¼ÛÖµÌùÍÆ¼ö£¬¶ÔÄúͬÑùÓаïÖú:
ÇëÎÊ£ºÓÐûÓÐÖÆ×÷¶þÔªÏàͼµÄÈí¼þ
ÒѾÓÐ6È˻ظ´
CaO-Cr2O3¶þÔªÏàͼ
ÒѾÓÐ5È˻ظ´
10½ð±ÒÇóÕÅÂÁÃÌ£¨Al-Mn£©¶þÔªÏàͼ
ÒѾÓÐ4È˻ظ´
Ni-Cr¶þÔªÏàͼ
ÒѾÓÐ11È˻ظ´
Çó¸ßÊÖ°ïæ·ÖÎöÒ»ÏÂþÂÁ¶þÔªÏàͼ°¡
ÒѾÓÐ6È˻ظ´
¶þÔª¡¢ÈýÔªÏàͼÈí¼þ
ÒѾÓÐ9È˻ظ´
¡¾Èí¼þ¡¿SoluCalc Ë®ÑÎÌåϵÏàͼ¼ÆËãÈí¼þ
ÒѾÓÐ35È˻ظ´
ÓйØCaO¡¤Al2O3¡¤2SiO2---Na2O¡¤2SiO2µÄÏàͼ
ÒѾÓÐ5È˻ظ´
ÇóFe2O3-SiO2-Al2O3ÈýÔªÏàͼ
ÒѾÓÐ8È˻ظ´
ÊÔ»³öÓÉÁ½¸ö°ü¾§·´Ó¦¡¢Ò»¸ö¹²¾§·´Ó¦¡¢Ò»¸ö°üÎö·´Ó¦×é³ÉµÄ¶þÔªºÏ½ðÏàͼ
ÒѾÓÐ9È˻ظ´
¡¾ÇóÖú¡¿ÇóÓëB2O3ÓйصĶþÔª»òÈýÔªÏàͼ¡£
ÒѾÓÐ11È˻ظ´
¡¾ÇóÖú¡¿KCl-NaCl-H2OÈýÔªÌåϵÏàͼ
ÒѾÓÐ6È˻ظ´
¡¾Çë½Ì¡¿ÈçºÎ¿´Cu-Ni¶þÔªºÏ½ðÏàͼ£¿
ÒѾÓÐ3È˻ظ´
¡¾ÇóÖú¡¿Ã¾ÂÁ¶þÔªÏàͼ
ÒѾÓÐ11È˻ظ´
wydmhy
ÖÁ×ðľ³æ (Ö°Òµ×÷¼Ò)
- Ó¦Öú: 161 (¸ßÖÐÉú)
- ½ð±Ò: 10549.3
- É¢½ð: 235
- ºì»¨: 41
- Ìû×Ó: 4048
- ÔÚÏß: 717.7Сʱ
- ³æºÅ: 903420
- ×¢²á: 2009-11-15
- ÐÔ±ð: GG
- רҵ: ÎÞ»ú·Ç½ðÊôÀà¹âµçÐÅÏ¢Ó빦
¡¾´ð°¸¡¿Ó¦Öú»ØÌû
¡ï ¡ï ¡ï ¡ï ¡ï
¸Ðл²ÎÓ룬ӦÖúÖ¸Êý +1
dong1059: ½ð±Ò+5, ¡ï¡ï¡ï¡ï¡ï×î¼Ñ´ð°¸, ·Ç³£¸Ðл£¡ 2013-08-27 22:03:52
¸Ðл²ÎÓ룬ӦÖúÖ¸Êý +1
dong1059: ½ð±Ò+5, ¡ï¡ï¡ï¡ï¡ï×î¼Ñ´ð°¸, ·Ç³£¸Ðл£¡ 2013-08-27 22:03:52
2Â¥2013-08-27 21:17:15
dong1059
ľ³æ (ÖøÃûдÊÖ)
- Ó¦Öú: 159 (¸ßÖÐÉú)
- ½ð±Ò: 3891.9
- É¢½ð: 1655
- ºì»¨: 49
- Ìû×Ó: 1400
- ÔÚÏß: 732.1Сʱ
- ³æºÅ: 1547670
- ×¢²á: 2011-12-22
- ÐÔ±ð: GG
- רҵ: ÎÞ»ú·Ç½ðÊôÀà¹âµçÐÅÏ¢Ó빦
3Â¥2013-08-27 22:07:00
seaheart_yu
½ð³æ (СÓÐÃûÆø)
- Ó¦Öú: 6 (Ó×¶ùÔ°)
- ½ð±Ò: 1412.5
- ºì»¨: 1
- Ìû×Ó: 296
- ÔÚÏß: 85.4Сʱ
- ³æºÅ: 241275
- ×¢²á: 2006-04-10
- רҵ: ÎÞ»úºÏ³ÉºÍÖÆ±¸»¯Ñ§
4Â¥2013-08-28 00:41:29













»Ø¸´´ËÂ¥