²é¿´: 1902  |  »Ø¸´: 1

rert

гæ (³õÈëÎÄ̳)

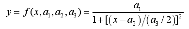
[ÇóÖú] ÔõôÄâºÏÂåÂ××Ⱥ¯Êý£¿ÐèÒªÊýÑ§ÍÆÀí¹ý³Ì£¬²»ÊÇmatlab

ÔõôÄâºÏÂåÂ××Ⱥ¯Êý£¿ÐèÒªÊýÑ§ÍÆÀí¹ý³Ì£¬²»ÊÇmatlab
¸ù¾Ý×îС¶þ³Ë·¨£¬¸ÃÔõÑùÄâºÏÂåÂ××Ⱥ¯Êý¡£
ÎÒ³¢ÊÔÓÃLMËã·¨£¬µ«ÒòΪ̩ÀÕÕ¹¿ªºóÒ²ÊÇ·ÇÏßÐÔº¯Êý£¬Ëã²»ÏÂÈ¥¡£
Èç¹ûÊÇÓÃPowell·¨£¬ÎÒ²»ÖªµÀÔõô°ÑÂåÂ××Ⱥ¯Êý»¯³ÉPowell·¨ÒªÇóµÄÕý¶¨¶þ´Îº¯ÊýÐÎʽ¡£
´óÒ»ÐÂÉú¿Æ´´ÏîÄ¿£¬Ã»Ñ§¹ýÊýÖµ¼ÆË㣬¿¿×ÔѧºÜ¶àµØ·½Åª²»Ã÷°×¡£¼±ÅθßÊÖ°ïÖú

[ Last edited by rert on 2013-8-24 at 17:31 ]
»Ø¸´´ËÂ¥

» ²ÂÄãϲ»¶

» ±¾Ö÷ÌâÏà¹Ø¼ÛÖµÌùÍÆ¼ö£¬¶ÔÄúͬÑùÓаïÖú:

ÒÑÔÄ   »Ø¸´´ËÂ¥   ¹Ø×¢TA ¸øTA·¢ÏûÏ¢ ËÍTAºì»¨ TAµÄ»ØÌû

feixiaolin

ÈÙÓþ°æÖ÷ (ÎÄ̳¾«Ó¢)

ÓÅÐã°æÖ÷

¡¾´ð°¸¡¿Ó¦Öú»ØÌû

¸Ðл²ÎÓ룬ӦÖúÖ¸Êý +1
½¨ÒéÓà Levenberg-Marquads least square ·½·¨¡£
2Â¥2013-08-24 20:22:39
ÒÑÔÄ   »Ø¸´´ËÂ¥   ¹Ø×¢TA ¸øTA·¢ÏûÏ¢ ËÍTAºì»¨ TAµÄ»ØÌû
Ïà¹Ø°æ¿éÌø×ª ÎÒÒª¶©ÔÄÂ¥Ö÷ rert µÄÖ÷Ìâ¸üÐÂ
×î¾ßÈËÆøÈÈÌûÍÆ¼ö [²é¿´È«²¿] ×÷Õß »Ø/¿´ ×îºó·¢±í
[¿¼ÑÐ] ²ÄÁÏѧѧ˶080502 337Çóµ÷¼Á-Ò»Ö¾Ô¸»ªÖпƼ¼´óѧ +4 ˳˳˳mr 2026-03-18 5/250 2026-03-21 10:22 by luoyongfeng
[¿¼ÑÐ] 307Çóµ÷¼Á +3 wyyyqx 2026-03-17 3/150 2026-03-21 03:20 by JourneyLucky
[¿¼ÑÐ] 083200ѧ˶321·ÖÒ»Ö¾Ô¸ôßÄÏ´óѧÇóµ÷¼Á +3 innocenceF 2026-03-17 3/150 2026-03-21 02:35 by JourneyLucky
[¿¼ÑÐ] 280Çóµ÷¼Á +7 ¹¾ààÏþÏþ 2026-03-18 8/400 2026-03-21 01:27 by JourneyLucky
[¿¼ÑÐ] ¡¾¿¼Ñе÷¼Á¡¿»¯Ñ§×¨Òµ 281·Ö£¬Ò»Ö¾Ô¸ËÄ´¨´óѧ£¬³ÏÐÄÇóµ÷¼Á +8 ³Ô³Ô³Ô²ÅÓÐÒâÒå 2026-03-19 8/400 2026-03-21 00:49 by Áõ¹úÉ­
[¿¼ÑÐ] 311Çóµ÷¼Á +5 ¶¬Ê®Èý 2026-03-18 5/250 2026-03-21 00:16 by JourneyLucky
[¿¼ÑÐ] 296Çóµ÷¼Á +6 www_q 2026-03-18 10/500 2026-03-20 23:56 by JourneyLucky
[¿¼ÑÐ] 22408 344·Ö Çóµ÷¼Á Ò»Ö¾Ô¸ »ªµç¼ÆËã»ú¼¼Êõ +4 solanXXX 2026-03-20 4/200 2026-03-20 23:49 by alg094825
[¿¼ÑÐ] 324Çóµ÷¼Á +5 luckyѽѽѽѼ 2026-03-20 5/250 2026-03-20 22:30 by ´ÙÌì³É
[¿¼ÑÐ] 295²ÄÁÏÇóµ÷¼Á£¬Ò»Ö¾Ô¸Î人Àí¹¤085601ר˶ +5 Charlieyq 2026-03-19 5/250 2026-03-20 20:35 by JourneyLucky
[¿¼ÑÐ] 260Çóµ÷¼Á +3 ÖìÜÆÁÕ 2026-03-20 3/150 2026-03-20 20:35 by ѧԱ8dgXkO
[¿¼ÑÐ] Ò»Ö¾Ô¸ ÄϾ©º½¿Õº½Ìì´óѧ´óѧ £¬080500²ÄÁÏ¿ÆÑ§Ó빤³Ìѧ˶ +5 @taotao 2026-03-20 5/250 2026-03-20 20:16 by JourneyLucky
[¿¼ÑÐ] ¹¤¿Æ²ÄÁÏ085601 279Çóµ÷¼Á +7 À§ÓÚÐdz¿ 2026-03-17 9/450 2026-03-20 17:38 by ÎÞи¿É»÷111
[¿¼ÑÐ] 085410È˹¤ÖÇÄÜר˶317Çóµ÷¼Á£¨0854¶¼¿ÉÒÔ£© +4 xbxudjdn 2026-03-18 4/200 2026-03-20 09:07 by ²»168
[¿¼ÑÐ] ¡¾Í¬¼ÃÈí¼þ¡¿Èí¼þ£¨085405£©¿¼ÑÐÇóµ÷¼Á +3 2026eternal 2026-03-18 3/150 2026-03-18 19:09 by ²«»÷518
[¿¼ÑÐ] 0854£¬¼ÆËã»úÀàÕÐÊÕµ÷¼Á +3 ºúÀ±ÌÀ·ÅÌÇ 2026-03-15 6/300 2026-03-18 12:09 by Éϰ¶Éϰ¶¡­¡­..
[¿¼ÑÐ] 334Çóµ÷¼Á +3 Ö¾´æ¸ßÔ¶ÒâÔÚ»úÐ 2026-03-16 3/150 2026-03-18 08:34 by lm4875102
[¿¼ÑÐ] Ò»Ö¾Ô¸ËÕÖÝ´óѧ²ÄÁϹ¤³Ì£¨085601£©×¨Ë¶ÓпÆÑо­ÀúÈýÏî¹ú½±Á½¸öʵÓÃÐÍרÀûÒ»ÏîÊ¡¼¶Á¢Ïî +6 ´ó»ðɽС»ðɽ 2026-03-16 8/400 2026-03-17 15:05 by ÎÞи¿É»÷111
[¿¼ÑÐ] ²ÄÁϹ¤³Ìר˶274Ò»Ö¾Ô¸211Çóµ÷¼Á +6 Ñ¦ÔÆÅô 2026-03-15 6/300 2026-03-17 11:05 by ѧԱh26Tkc
[¿¼ÑÐ] 304Çóµ÷¼Á +5 ËØÄê¼ÀÓï 2026-03-15 5/250 2026-03-16 17:00 by ÎҵĴ¬Îҵĺ£
ÐÅÏ¢Ìáʾ
ÇëÌî´¦ÀíÒâ¼û