| 查看: 592 | 回复: 2 | |
[求助]
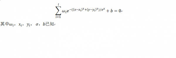
如何证明下面的隐函数方程在x取某一值处y无解!
|
|
|
|
|
pippi6铁杆木虫 (著名写手)
工程和科学数值计算咨询
|
|
|
2楼2013-08-20 16:31:54
|
|
|
3楼2013-08-20 19:42:43
|
|













回复此楼