| ²é¿´: 1054 | »Ø¸´: 2 | ||
liushuang159ľ³æ (³õÈëÎÄ̳)
|
[ÇóÖú]
Çë´ó¼Ò¿´ÏÂÕâ¸ö»¯ºÏÎïÊÇ·ñÊÇ·´Ìú´ÅÌå
|
|
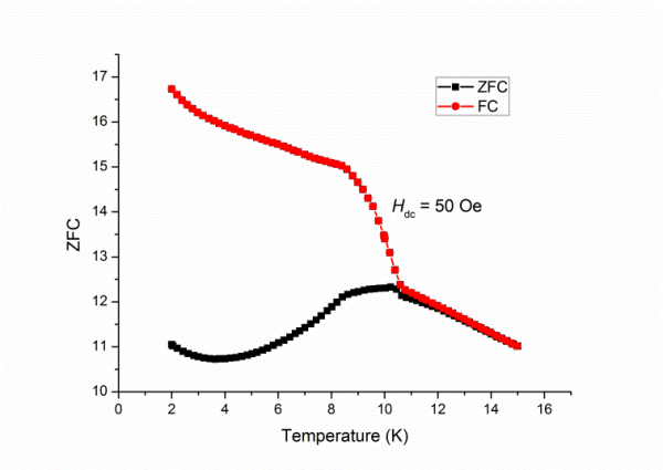
×î½ü×öÁËÒ»¸öCoµÄÅäºÏÎ´ÅÐԸ㲻Ã÷°×£¬Çë¸÷λ´óÅ£°ïæ·ÖÎöһϣ¬²»Ê¤¸Ð¼¤! 1.±äÎÂÊý¾Ý×öÁ˾ÓÀï-ά˹ÄâºÏ£¬¦ÈÔÚ-106 K£¬ÇÒXmÔÚ9K¸½½ü³öÏÖÒ»¸ö·åÖµ£¬¸üµÍζÈÓÖ¼ÌÐøÉÏÉý£¬¿´ÆðÀ´Ó¦¸ÃÊÇ·´Ìú´Å×÷ÓüÓ˳´ÅÔÓÖÊÔì³ÉµÄ¡£ 2.MHÔÚ0-7 TÇø¼ä³ÊÒ»ÌõÖ±Ïߣ¬Ò²·ûºÏ·´Ìú´ÅÌåµÄÌØÕ÷¡£ 3.FC-ZFCÇúÏßÔÚ9K¸½½ü³öÏֲַ棬½»Á÷ʵ²¿ºÍÐ鲿ÐźŶ¼ºÜÔÓÂÒ¡£ ÎÊÌ⣺ 1. Õâ¸ö»¯ºÏÎïÊDz»ÊÇÒ»¸ö·´Ìú´ÅÌ壬¿´Á˲¿·Ö·´Ìú´ÅÌåµÄÎÄÏ×£¬¶¼Ã»ÓÐÌáµ½ZFC-FCµÄÎÊÌ⣬Ϊʲô£¿ 2. Xm-TµÄ·åÖµÊǶ̳ÌÓÐÐò»¹Êdz¤³ÌÓÐÐòÔõÃ´Çø·Ö£¿ http://bcs.duapp.com/emuchnet/20 ... _1376964227_798.png http://bcs.duapp.com/emuchnet/20 ... _1376964301_455.png http://bcs.duapp.com/emuchnet/20 ... _1376964305_247.png http://bcs.duapp.com/emuchnet/20 ... _1376964301_724.png mt.png mh.png xM.png zfc-fc.png |
» ²ÂÄãϲ»¶
ÊÛSCIÒ»ÇøÎÄÕ£¬ÎÒ:8 O5 51O 54,¿ÆÄ¿ÆëÈ«,¿É+¼±
ÒѾÓÐ4È˻ظ´
ÊÛSCIÒ»ÇøÎÄÕ£¬ÎÒ:8 O5 51O 54,¿ÆÄ¿ÆëÈ«,¿É+¼±
ÒѾÓÐ6È˻ظ´
ÊÛSCIÒ»ÇøÎÄÕ£¬ÎÒ:8 O5 51O 54,¿ÆÄ¿ÆëÈ«,¿É+¼±
ÒѾÓÐ4È˻ظ´
ÊÛSCIÒ»ÇøÎÄÕ£¬ÎÒ:8 O5 51O 54,¿ÆÄ¿ÆëÈ«,¿É+¼±
ÒѾÓÐ5È˻ظ´
ÊÛSCIÒ»ÇøÎÄÕ£¬ÎÒ:8 O5 51O 54,¿ÆÄ¿ÆëÈ«,¿É+¼±
ÒѾÓÐ5È˻ظ´
ÊÛSCIÒ»ÇøÎÄÕ£¬ÎÒ:8 O5 51O 54,¿ÆÄ¿ÆëÈ«,¿É+¼±
ÒѾÓÐ8È˻ظ´
ÊÛSCIÒ»ÇøÎÄÕ£¬ÎÒ:8 O5 51O 54,¿ÆÄ¿ÆëÈ«,¿É+¼±
ÒѾÓÐ8È˻ظ´
ÊÛSCIÒ»ÇøÎÄÕ£¬ÎÒ:8 O5 51O 54,¿ÆÄ¿ÆëÈ«,¿É+¼±
ÒѾÓÐ10È˻ظ´
ÊÛSCIÒ»ÇøÎÄÕ£¬ÎÒ:8 O5 51O 54,¿ÆÄ¿ÆëÈ«,¿É+¼±
ÒѾÓÐ6È˻ظ´
ÊÛSCIÒ»ÇøÎÄÕ£¬ÎÒ:8 O5 51O 54,¿ÆÄ¿ÆëÈ«,¿É+¼±
ÒѾÓÐ6È˻ظ´
» ±¾Ö÷ÌâÏà¹Ø¼ÛÖµÌùÍÆ¼ö£¬¶ÔÄúͬÑùÓаïÖú:
ÊDz»ÊÇÖ»Óк¬ÓÐÌúîÜÄøµÄ»¯ºÏÎï²Å¾ßÓдÅÐÔ°¡£¿ÆäËûµÄÎïÖÊ¿ÉÄܾßÓдÅÐÔÂð£¿
ÒѾÓÐ7È˻ظ´
·´Ìú´ÅÐÔÎïÖʲâ³öÀ´µÄ´ÅÖÍ»ØÏßÓ¦¸ÃÊÇʲôÑùµÄ
ÒѾÓÐ5È˻ظ´
¡¾Çë½Ì¡¿Ê²Ã´ÎïÖÊͨ¹ý»¯ºÏ¼Û±ä»¯Ê¹´ÅÐÔÔöÇ¿£¿
ÒѾÓÐ3È˻ظ´
¡¾ÇóÖú¡¿ÈçºÎÔÚMSÖÐÉèÖ÷´Ìú´ÅÐÔÎïÖʵļÆËã
ÒѾÓÐ25È˻ظ´

¾»»ÛŠíÐË
Ìú¸Ëľ³æ (СÓÐÃûÆø)
- Ó¦Öú: 9 (Ó×¶ùÔ°)
- ½ð±Ò: 5535.9
- É¢½ð: 15
- ºì»¨: 2
- Ìû×Ó: 83
- ÔÚÏß: 26.8Сʱ
- ³æºÅ: 2605864
- ×¢²á: 2013-08-19
- ÐÔ±ð: GG
- רҵ: ½ðÊô¹¦ÄܲÄÁÏ

2Â¥2013-08-30 08:32:56
liushuang159
ľ³æ (³õÈëÎÄ̳)
- Ó¦Öú: 0 (Ó×¶ùÔ°)
- ½ð±Ò: 2896
- É¢½ð: 10
- ºì»¨: 2
- Ìû×Ó: 50
- ÔÚÏß: 251Сʱ
- ³æºÅ: 1091526
- ×¢²á: 2010-09-07
- רҵ: Åäλ»¯Ñ§

3Â¥2013-08-30 09:13:24













»Ø¸´´ËÂ¥