| 查看: 1918 | 回复: 14 | ||
[求助]
单位换算
|
||
|
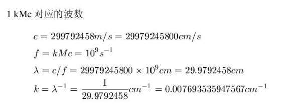
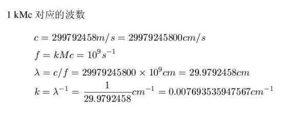
请问一下,各位大牛,以下的单位换算问题 1) kMc/sec 代表什么含义? 2) kMc/sec 与波数单位 cm-1 之间的关系是什么? |
» 猜你喜欢
362求调剂
已经有9人回复
334分 一志愿武理-080500 材料求调剂
已经有9人回复
一志愿武汉理工,总分321,英一数二,求老师收留。
已经有12人回复
考研调剂求助
已经有6人回复
263求调剂
已经有3人回复
085600 一志愿9 总分351 求调剂学校
已经有3人回复
一志愿西交大080500材料学硕349
已经有6人回复
物理学调剂
已经有4人回复
304求调剂
已经有10人回复
考研材料工程351分调剂
已经有3人回复

goldfox_79
金虫 (正式写手)
- 应助: 45 (小学生)
- 金币: 1101.5
- 红花: 1
- 帖子: 905
- 在线: 317.2小时
- 虫号: 2236451
- 注册: 2013-01-12
- 专业: 计算机软件

2楼2013-08-17 22:32:22
pippi6
铁杆木虫 (著名写手)
工程和科学数值计算咨询
- 应助: 413 (硕士)
- 贵宾: 0.002
- 金币: 7116.5
- 散金: 15
- 红花: 63
- 帖子: 1639
- 在线: 798.9小时
- 虫号: 2469437
- 注册: 2013-05-14
- 专业: 计算数学与科学工程计算
【答案】应助回帖
★ ★ ★ ★ ★ ★ ★ ★ ★ ★ ★
感谢参与,应助指数 +1
十年磨练: 金币+8, ★★★很有帮助 2013-08-25 19:43:26
华丽的飘过: 金币+3, 应助指数+1, 专家考核, 3q 2013-08-27 03:22:29
感谢参与,应助指数 +1
十年磨练: 金币+8, ★★★很有帮助 2013-08-25 19:43:26
华丽的飘过: 金币+3, 应助指数+1, 专家考核, 3q 2013-08-27 03:22:29
|
(1) kMc/sec=kilomegacycles per second, 是频率,http://en.wikipedia.org/wiki/Hertz (2) 和波长的关系应该是通过光速换算 |
3楼2013-08-18 04:53:34

4楼2013-08-18 09:15:46
sciencejoy
新虫 (著名写手)
- 应助: 436 (硕士)
- 金币: 11207.1
- 红花: 90
- 帖子: 2974
- 在线: 498小时
- 虫号: 802149
- 注册: 2009-07-02
- 性别: GG
- 专业: 高分子物理与高分子物理化
5楼2013-08-18 09:42:48
pippi6
铁杆木虫 (著名写手)
工程和科学数值计算咨询
- 应助: 413 (硕士)
- 贵宾: 0.002
- 金币: 7116.5
- 散金: 15
- 红花: 63
- 帖子: 1639
- 在线: 798.9小时
- 虫号: 2469437
- 注册: 2013-05-14
- 专业: 计算数学与科学工程计算
6楼2013-08-18 10:08:49

7楼2013-08-18 17:01:40

8楼2013-08-18 17:15:55
pippi6
铁杆木虫 (著名写手)
工程和科学数值计算咨询
- 应助: 413 (硕士)
- 贵宾: 0.002
- 金币: 7116.5
- 散金: 15
- 红花: 63
- 帖子: 1639
- 在线: 798.9小时
- 虫号: 2469437
- 注册: 2013-05-14
- 专业: 计算数学与科学工程计算
9楼2013-08-18 17:40:33

10楼2013-08-18 20:07:07














回复此楼
10