| 查看: 1171 | 回复: 9 | ||
yaingy木虫 (小有名气)
|
[求助]
为什么实验得到的一组数据的阻抗谱的阻值和tafel计算得到的阻值不一样?
|
|
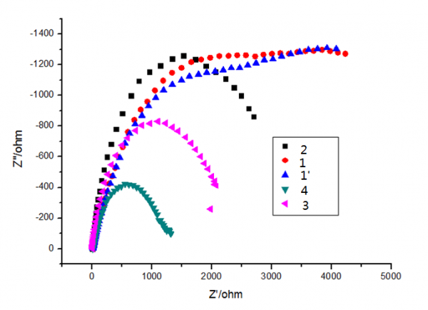
请问大家,为什么实验得到的一组数据的阻抗谱的阻值和tafel计算得到的阻值不一样? 阻抗谱得到阻值: 1(1‘)>2>3>4 tafel计算得到: 1>3>2>4 各位,请问为什么tafel得到的和阻抗得到的不一致?另外tafel计算得到的阻值大小顺序为什么和图上谷值顺序相反? 谢谢! tafel.png z.png |
» 猜你喜欢
北方工业大学085808储能技术-02方向(电池)接收调剂生
已经有0人回复
272求调剂,接受跨专业调剂!
已经有3人回复
分析化学论文润色/翻译怎么收费?
已经有234人回复
有一区TOP论文,求调剂
已经有22人回复
大连工业大学杰青/长江团队-生物质材料-储能电池方向招收2026级博士生
已经有14人回复
2026贵州大学博士招生
已经有0人回复
青岛大学化学化工学院2026年招收调剂硕士研究生
已经有0人回复
2026年宁波工程学院招收硕士研究生(调剂)
已经有0人回复
山东科技大学化工学院泰山学者团队招收研究生调剂3-5名,化学工程与技术、化学工程
已经有1人回复
生物与医药专业硕士调剂(河北大学 化学与材料科学学院)
已经有7人回复
河北大学分析化学招收多名调剂考生
已经有12人回复
» 本主题相关价值贴推荐,对您同样有帮助:
请教关于阻抗的阻值计算问题
已经有9人回复
liulang1224
木虫 (小有名气)
研究学者
- 应助: 56 (初中生)
- 金币: 2713.9
- 红花: 3
- 帖子: 182
- 在线: 82.6小时
- 虫号: 2136511
- 注册: 2012-11-20
- 性别: GG
- 专业: 应用高分子化学与物理

2楼2013-08-14 17:39:24
corrtest
木虫 (著名写手)
- 应助: 486 (硕士)
- 贵宾: 0.006
- 金币: 2623.6
- 红花: 48
- 帖子: 1360
- 在线: 776.8小时
- 虫号: 687386
- 注册: 2009-01-04
- 专业: 电化学
3楼2013-08-14 17:40:46
4楼2013-08-14 19:12:31
yaingy
木虫 (小有名气)
- 应助: 2 (幼儿园)
- 金币: 3672.7
- 散金: 6
- 红花: 1
- 帖子: 184
- 在线: 75小时
- 虫号: 901555
- 注册: 2009-11-12
- 专业: 金属材料表面科学与工程
5楼2013-08-16 12:56:54
yaingy
木虫 (小有名气)
- 应助: 2 (幼儿园)
- 金币: 3672.7
- 散金: 6
- 红花: 1
- 帖子: 184
- 在线: 75小时
- 虫号: 901555
- 注册: 2009-11-12
- 专业: 金属材料表面科学与工程
6楼2013-08-16 13:00:43
yaingy
木虫 (小有名气)
- 应助: 2 (幼儿园)
- 金币: 3672.7
- 散金: 6
- 红花: 1
- 帖子: 184
- 在线: 75小时
- 虫号: 901555
- 注册: 2009-11-12
- 专业: 金属材料表面科学与工程
7楼2013-08-16 13:08:57
yaingy
木虫 (小有名气)
- 应助: 2 (幼儿园)
- 金币: 3672.7
- 散金: 6
- 红花: 1
- 帖子: 184
- 在线: 75小时
- 虫号: 901555
- 注册: 2009-11-12
- 专业: 金属材料表面科学与工程
8楼2013-08-16 13:10:45
9楼2013-08-16 14:01:12
corrtest
木虫 (著名写手)
- 应助: 486 (硕士)
- 贵宾: 0.006
- 金币: 2623.6
- 红花: 48
- 帖子: 1360
- 在线: 776.8小时
- 虫号: 687386
- 注册: 2009-01-04
- 专业: 电化学
10楼2013-08-16 16:26:37














回复此楼