| 查看: 2620 | 回复: 4 | ||
[求助]
不同的组分运输方程怎样在fluent中体现????跪求帮帮忙吧 已有2人参与
|
|
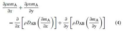
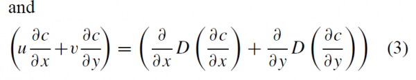
在模拟膜渗透过程中模拟结果总是不能和文献结果吻合,怀疑是由于一次控制方程同造成的。我想用的是第一个控制方程,而第二个是另一篇文献中的,我想问的是怎样才能确保自己使用的是第一个呢???如果用udf应该怎么用呢????哪位好心人,帮帮我吧,实在是来不及了。虽然没有多少金币,但如果能解决问题,金币全给你吧,求求大家了!!! 捕获.PNG 捕获1.PNG |
» 猜你喜欢
天津大学招2026.09的博士生,欢迎大家推荐交流(博导是本人)
已经有3人回复
有时候真觉得大城市人没有县城人甚至个体户幸福
已经有6人回复
面上项目申报
已经有3人回复
酰胺脱乙酰基
已经有9人回复
CSC & MSCA 博洛尼亚大学能源材料课题组博士/博士后招生|MSCA经费充足、排名优
已经有5人回复
博士延得我,科研能力直往上蹿
已经有7人回复
退学或坚持读
已经有27人回复
面上基金申报没有其他的参与者成吗
已经有5人回复
遇见不省心的家人很难过
已经有22人回复
» 本主题相关价值贴推荐,对您同样有帮助:
fluent中udf如何编写内部压力变化
已经有7人回复
FLUENT一打开能量方程直接发散有可能是什么原因?急,谢谢
已经有12人回复
在fluent中如何判断管内流动是湍流还是层流?
已经有13人回复
关于species transport模型下组分浓度的设置问题
已经有10人回复
弱弱问个问题,以下那些是扩散项,那些是对流项。
已经有11人回复
关于组分输运模型的一个问题
已经有7人回复
关于FLUENT组分数据库中的一个问题交流
已经有5人回复
FLUENT uds方程求助,求大神
已经有7人回复
用fluent组分输运模型模拟煤粉燃烧,怎么加入固体成分的含量
已经有11人回复
FLUENT中耦合求解两个标量方程,求指点...
已经有5人回复
fluent 怎样模拟壁面吸收组分
已经有9人回复
这个反应中活化能在fluent中应该是多少?
已经有20人回复
请教一个关于闭合回路环流的fluent模拟问题
已经有17人回复
fluent 关于prePDF模型求助
已经有13人回复
组分输运模型的出口组分设置?
已经有26人回复
【求助】请问Fluent中如何简单地添加流动区域各坐标下的动量源项?
已经有16人回复
ya634984094
铜虫 (小有名气)
- 应助: 39 (小学生)
- 金币: 74.7
- 散金: 4
- 红花: 3
- 帖子: 259
- 在线: 38.5小时
- 虫号: 1695458
- 注册: 2012-03-16
- 专业: 流体力学
2楼2014-01-20 02:20:30
phujie
至尊木虫 (知名作家)
- 应助: 121 (高中生)
- 金币: 21164.9
- 散金: 1000
- 红花: 18
- 沙发: 1
- 帖子: 9498
- 在线: 1100.6小时
- 虫号: 2898761
- 注册: 2013-12-27
- 性别: GG
- 专业: 化学反应工程
【答案】应助回帖
|
FLUENT can model chemical species by solving conservation equations describing convection, diffusion, and reaction sources for each component species. /// species equation you can follow the linkage below http://aerojet.engr.ucdavis.edu/fluenthelp/html/ug/node1342.htm UDS is also OK |
3楼2014-01-20 17:04:23
yan_yuting
新虫 (小有名气)
- 应助: 0 (幼儿园)
- 金币: 2495.5
- 散金: 35
- 帖子: 164
- 在线: 55.8小时
- 虫号: 1488072
- 注册: 2011-11-12
- 专业: 计算机软件
4楼2015-05-11 17:06:20
星星在我家门
木虫 (著名写手)
热爱互联网
- 应助: 21 (小学生)
- 金币: 2024.1
- 散金: 1232
- 红花: 8
- 沙发: 1
- 帖子: 1070
- 在线: 173.8小时
- 虫号: 3229413
- 注册: 2014-05-23
- 专业: 传递过程

5楼2018-04-27 20:31:41













回复此楼