| 查看: 670 | 回复: 4 | |
baishuai741金虫 (正式写手)
|
[求助]
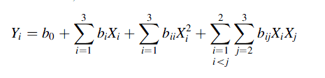
BBD中的公式是如何做的?貌似很复杂的结构
|
|
|
|
zybpxy铁杆木虫 (著名写手)
致斋大人
|
|
![]() |
|
|
2楼2013-08-02 14:33:12
|
|
|
3楼2013-08-02 14:34:39
|
|
![]() |
|
|
4楼2013-08-02 21:33:39
|
|
baishuai741金虫 (正式写手)
|
|
|
5楼2013-08-03 09:08:14
|
|














回复此楼
