| 查看: 1091 | 回复: 8 | |||
bjwang铁杆木虫 (正式写手)
|
[求助]
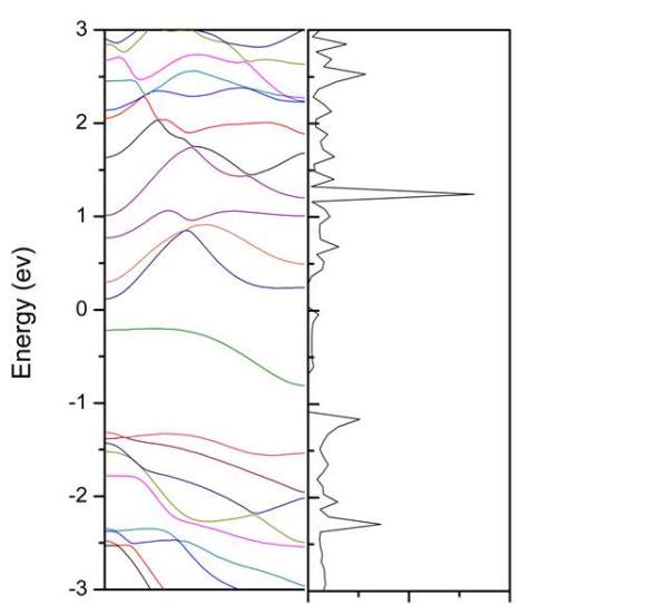
能带图和其DOS图偏离了大约0.2ev
|
|
做了个简单的纳米带的能带计算,但算出来的能带图和其DOS图偏离了大约0.2ev(具体见附件图片),不知原因何在?查了一下,自洽里面的费米能级和DOS中的OUTCAR里的费米能级也差了大约0.2ev,不知这两者之间是否有联系?哪位同学帮忙看一下,如何理解和解决?谢谢! 未命名.JPG |
» 收录本帖的淘帖专辑推荐
VASP |
» 猜你喜欢
308求调剂
已经有3人回复
求b区院校调剂
已经有5人回复
0854AI CV方向招收调剂
已经有4人回复
296求调剂
已经有7人回复
302求调剂
已经有4人回复
086000生物与医药292求调剂
已经有5人回复
北科281学硕材料求调剂
已经有14人回复
材料与化工 322求调剂
已经有5人回复
333求调剂
已经有11人回复
材料专硕 335 分求调剂
已经有3人回复
» 本主题相关商家推荐: (我也要在这里推广)
» 本主题相关价值贴推荐,对您同样有帮助:
关于p4vasp画能带图和DOS图
已经有13人回复

lq6865387
木虫 (著名写手)
有志成年
- 应助: 137 (高中生)
- 金币: 3328.5
- 散金: 30
- 红花: 18
- 帖子: 1881
- 在线: 150.2小时
- 虫号: 1534707
- 注册: 2011-12-12
- 性别: GG
- 专业: 凝聚态物性I:结构、力学和

2楼2013-08-02 14:30:45
bjwang
铁杆木虫 (正式写手)
- 应助: 4 (幼儿园)
- 金币: 5860.3
- 散金: 94
- 红花: 6
- 帖子: 792
- 在线: 556.3小时
- 虫号: 250077
- 注册: 2006-05-08
- 专业: 凝聚态物性 II :电子结构

3楼2013-08-02 15:06:11
bjwang
铁杆木虫 (正式写手)
- 应助: 4 (幼儿园)
- 金币: 5860.3
- 散金: 94
- 红花: 6
- 帖子: 792
- 在线: 556.3小时
- 虫号: 250077
- 注册: 2006-05-08
- 专业: 凝聚态物性 II :电子结构

4楼2013-08-02 15:13:18
gswylq
木虫 (正式写手)
- 应助: 10 (幼儿园)
- 金币: 2546.6
- 散金: 120
- 红花: 1
- 帖子: 782
- 在线: 730.1小时
- 虫号: 659377
- 注册: 2008-11-21
- 专业: 金属材料的凝固与结晶学
5楼2013-08-02 21:33:33
chenyuchen
木虫 (正式写手)
- 应助: 32 (小学生)
- 贵宾: 0.005
- 金币: 4590.1
- 散金: 102
- 红花: 3
- 帖子: 832
- 在线: 208.4小时
- 虫号: 406410
- 注册: 2007-06-18
- 性别: GG
- 专业: 凝聚态物性 II :电子结构

6楼2013-08-02 22:19:34

7楼2013-08-03 09:55:20
bjwang
铁杆木虫 (正式写手)
- 应助: 4 (幼儿园)
- 金币: 5860.3
- 散金: 94
- 红花: 6
- 帖子: 792
- 在线: 556.3小时
- 虫号: 250077
- 注册: 2006-05-08
- 专业: 凝聚态物性 II :电子结构
|
1,我看侯博那个手册上说处理能带要减去scf时的费米能级,这里说“应该用dos里面的费米能级”,用哪个比较准呢? 2,事实上,我的问题和这两个帖子是一样的http://muchong.com/html/201108/3471913.html;http://muchong.com/html/201012/2658071.html, 我看其中一个帖子说:“在做scf和dos的时候,ISMEAR都用-5. 然后做完能带后,减去的费米能用scf或dos的都可以。”这意味只有ISMEAR=-5时scf或dos对应的费米能级才一致? |

8楼2013-08-03 20:37:28
bjwang
铁杆木虫 (正式写手)
- 应助: 4 (幼儿园)
- 金币: 5860.3
- 散金: 94
- 红花: 6
- 帖子: 792
- 在线: 556.3小时
- 虫号: 250077
- 注册: 2006-05-08
- 专业: 凝聚态物性 II :电子结构

9楼2013-08-05 18:44:00













回复此楼

40