| 查看: 1058 | 回复: 5 | |
[求助]
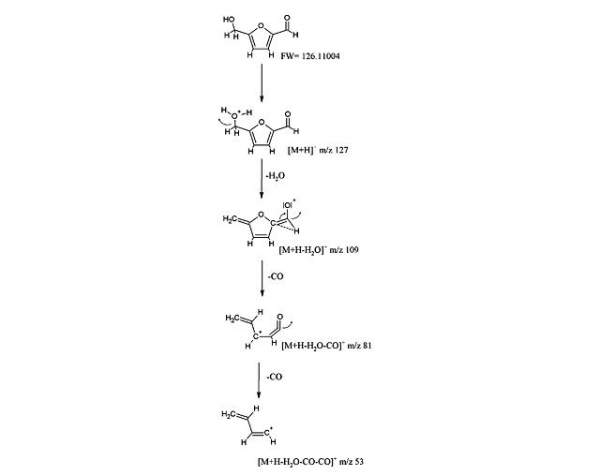
请教质谱大神解释下5-羟甲基糠醛ESI裂解机理! 已有1人参与
|
|
|
|
|
organicsuper木虫 (正式写手)
|
|
|
2楼2013-07-28 13:32:17
|
|
|
3楼2013-07-29 10:26:33
|
|
|
4楼2016-03-09 15:37:38
|
|
TrickyVick金虫 (小有名气)
|
|
|
5楼2016-03-09 18:36:35
|
|
bolivia至尊木虫 (著名写手)
|
|
|
6楼2016-10-20 16:50:28
|
|














回复此楼