24小时热门版块排行榜    

北京石油化工学院2026年研究生招生接收调剂公告
查看: 546  |  回复: 1

sunnest

管理员

优秀!!有木有!!!优秀!!有木有!!!优秀!!有木有!!!优秀!!有木有!!!

[求助] 请问介电函数中的高频项是什么意思?

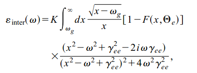
一般计算金属介电函数 有Drude部分和interband部分,有的资料里Drude部分里有个高频项“eoo”(oo表示无限),有的又用1取代这一项。这个所谓的高频项是什么呢?
如图:
请问介电函数中的高频项是什么意思?

请问介电函数中的高频项是什么意思?-1
我只知道第二个式子的推导过程,不太明白第一个式子是怎么回事.....

还有 能不能告诉我在哪里能找到这个interband(带间跃迁项)部分的详细解释呢?我查了几本固体物理书都没有
请问介电函数中的高频项是什么意思?-2

求大神们解惑~   我是新人没有金币....
回复此楼
已阅   回复此楼   关注TA 给TA发消息 送TA红花 TA的回帖

sunnest

版主

优秀!!有木有!!!优秀!!有木有!!!优秀!!有木有!!!优秀!!有木有!!!

怎么木有人呢....
2楼2013-07-19 15:52:11
已阅   回复此楼   关注TA 给TA发消息 送TA红花 TA的回帖
相关版块跳转 我要订阅楼主 sunnest 的主题更新
最具人气热帖推荐 [查看全部] 作者 回/看 最后发表
[考研] 材料专硕306英一数二 +3 z1z2z3879 2026-03-31 3/150 2026-04-01 00:39 by fmesaito
[考研] 08工科275分求调剂 +6 AaAa7420 2026-03-31 6/300 2026-03-31 21:27 by XBbbb13
[考研] 安徽大学专硕生物与医药专业(086000)324分,英语已过四六级,六级521,求调剂 +10 美味可乐鸡翅 2026-03-26 11/550 2026-03-31 19:20 by syh9288
[考研] 085600,321分求调剂 +7 大馋小子 2026-03-31 7/350 2026-03-31 18:02 by 无际的草原
[考研] 285求调剂 +6 AZMK 2026-03-30 11/550 2026-03-31 17:33 by AZMK
[考研] 286分调剂 +11 Faune 2026-03-30 13/650 2026-03-31 17:28 by michael2011
[考研] 329求调剂,一志愿西北工业大学,材料工程(085601) +6 小小机灵虫 2026-03-29 12/600 2026-03-31 16:58 by 记事本2026
[考研] 一志愿中国科学院大学265求调剂 +6 恬淡ye 2026-03-31 7/350 2026-03-31 11:28 by 恬淡ye
[考研] 一志愿大连理工大学,机械工程学硕,341 +3 西瓜田的守望者 2026-03-30 3/150 2026-03-31 11:08 by asdfzly
[考研] 085600材料与化工329分求调剂 +5 这是有太阳哇 2026-03-25 5/250 2026-03-31 09:59 by luoyongfeng
[考研] 289求调剂 +16 新时代材料 2026-03-27 16/800 2026-03-30 19:04 by Wang200018
[考研] 334分 一志愿武理 材料求调剂 +16 李李不服输 2026-03-26 16/800 2026-03-30 17:47 by wangjy2002
[考研] 329求调剂 +10 钮恩雪 2026-03-25 10/500 2026-03-29 13:32 by peike
[考研] 343求调剂 +6 爱羁绊 2026-03-29 6/300 2026-03-29 12:00 by 无际的草原
[考研] 081200-11408-276学硕求调剂 +6 崔wj 2026-03-26 6/300 2026-03-29 01:11 by hanserlol
[考研] 本科新能源科学与工程,一志愿华理能动285求调剂 +3 AZMK 2026-03-27 5/250 2026-03-28 16:19 by xxxsssccc
[考研] 材料与化工(0856)304求B区调剂 +8 邱gl 2026-03-27 8/400 2026-03-28 12:42 by 唐沐儿
[考研] 材料求调剂一志愿哈工大324 +7 闫旭东 2026-03-28 9/450 2026-03-28 08:51 by Xu de nuo
[考研] 340求调剂 +5 jhx777 2026-03-27 5/250 2026-03-28 04:18 by fmesaito
[考研] 341求调剂 +7 青柠檬1 2026-03-26 7/350 2026-03-27 00:19 by wxiongid
信息提示
请填处理意见