| 查看: 955 | 回复: 13 | |
| 当前只显示满足指定条件的回帖,点击这里查看本话题的所有回帖 | |
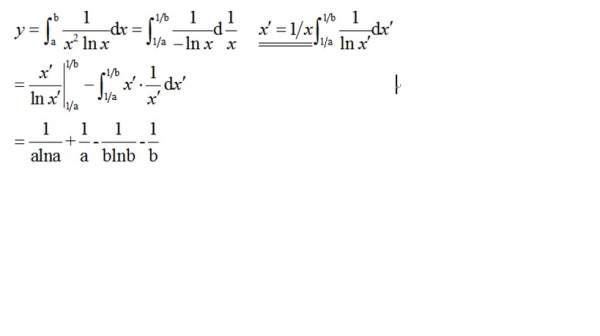
[求助]
求助积分求解
|
|
|
|
|
|
11楼2013-07-19 21:10:42
|
|
| 查看全部 14 个回答 | |
xyq479314新虫 (初入文坛)
|
|
|
2楼2013-07-16 22:58:27
|
|
MaxwellDemon铜虫 (初入文坛)
|
|
|
3楼2013-07-16 23:49:06
|
|
|
4楼2013-07-17 01:27:20
|
|













回复此楼
送红花一朵