| ²é¿´: 2332 | »Ø¸´: 6 | |||
¿û¶ù½ð³æ (ÕýʽдÊÖ)
|
[ÇóÖú]
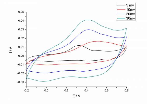
¾Û±½°·ÔÚ1MH2SO4ÖУ¬Èýµç¼«Ìåϵ²âµÄCV,ÕâͼҪÔõô½âÊͰ¡ ÒÑÓÐ1È˲ÎÓë
|
|
È總ͼ£¬²»Í¬É¨ÃèËÙÂÊÏ£¬¸Ð¾õCVͼûʲô¹æÂÉ¿ÉÑ£¬ÕâÒªÔõô½âÊÍÄØ£¬»¹ÓÐ5mv±êµÄ·å¶ÔÂ𣬸տªÊ¼×öµç»¯Ñ§·½Ã棬¸÷ÖÖ²»¶®£¬´óÏÀÃǰï°ï棡 ͼƬ2.png ͼƬ1.jpg |
» ²ÂÄãϲ»¶
¸£½¨Ê¦·¶´óѧ ԺʿÍÅ¶Ó ÕÐ2026¼¶²©Ê¿1Ãû
ÒѾÓÐ10È˻ظ´
¹ãÎ÷ʦ·¶´óѧ»¯Ñ§ÓëҩѧѧԺÑîÐãÁÖ¿ÎÌâ×é2026ÄêÄâÕÐÊÕ²©Ê¿Ñо¿Éú1Ãû
ÒѾÓÐ25È˻ظ´
ÎïÀí»¯Ñ§ÂÛÎÄÈóÉ«/·ÒëÔõôÊÕ·Ñ?
ÒѾÓÐ75È˻ظ´
26Äê´¢ÄÜ¡¢µç³Ø·½Ïò²©Ê¿ÉêÇë
ÒѾÓÐ1È˻ظ´
Çóµ÷¼Á£¬±¾¿Æ¼ª´ó£¬Ò»Ö¾Ô¸»ª¹¤339
ÒѾÓÐ2È˻ظ´
Òâ´óÀû²©ÂåÄáÑÇ´óѧÕÐÆ¸Ñо¿ÖúÀí2Ãû£¨2D²ÄÁÏ/ï®Àë×ÓÓëÄÆÀë×Óµç³Ø·½Ïò£©
ÒѾÓÐ1È˻ظ´
¹ØÓÚ̼Á¿×ӵ㿹¾úµÄÑо¿
ÒѾÓÐ15È˻ظ´
ÄÏ´ó»¯Ñ§µ÷¼Á
ÒѾÓÐ11È˻ظ´
ÁòËáÄÆÈÜҺŨ¶ÈÓëÃܶÈÇúÏß
ÒѾÓÐ0È˻ظ´
0703µ÷¼Á
ÒѾÓÐ2È˻ظ´
Çë½Ì¸÷λ´óÀУ¬Ð¿¿Õµç³Øµç½âÒº¸ÃͶÄĸö¿ÚºÏÊÊ£¿
ÒѾÓÐ0È˻ظ´
» ±¾Ö÷ÌâÏà¹Ø¼ÛÖµÌùÍÆ¼ö£¬¶ÔÄúͬÑùÓаïÖú:
Çë½Ì¸÷λǰ±² Èýµç¼«Ìåϵ²âÊÔ³ä·ÅµçºÍCVʱ£¬²¬Æ¬ÉϲúÉú´óÁ¿ÆøÅÝ £¬¸ÄÈçºÎ½â¾ö
ÒѾÓÐ10È˻ظ´
¡¾ÇóÖú¡¿²âCVʱ£¬Èýµç¼«µÄ·ÅÖÃ
ÒѾÓÐ14È˻ظ´
¡¾ÌÖÂÛ¡¿ï®Àë×Óµç³Ø²âCVÎÊÌ⣿Á½µç¼«ÌåϵÓëÈýµç¼«ÌåϵµÄÇø±ð£¿
ÒѾÓÐ26È˻ظ´

¿û¶ù
½ð³æ (ÕýʽдÊÖ)
- Ó¦Öú: 0 (Ó×¶ùÔ°)
- ½ð±Ò: 665
- É¢½ð: 40
- Ìû×Ó: 362
- ÔÚÏß: 202.2Сʱ
- ³æºÅ: 1329469
- ×¢²á: 2011-06-23
- ÐÔ±ð: MM
- רҵ: ÄÜÔ´»¯¹¤

2Â¥2013-07-16 10:29:28
wangqinchao
½ð³æ (СÓÐÃûÆø)
- Ó¦Öú: 9 (Ó×¶ùÔ°)
- ½ð±Ò: 497
- É¢½ð: 120
- ºì»¨: 1
- Ìû×Ó: 249
- ÔÚÏß: 177.5Сʱ
- ³æºÅ: 1388677
- ×¢²á: 2011-09-03
- ÐÔ±ð: GG
- רҵ: ½ðÊô¹¦ÄܲÄÁÏ
3Â¥2013-07-16 15:02:33
¿û¶ù
½ð³æ (ÕýʽдÊÖ)
- Ó¦Öú: 0 (Ó×¶ùÔ°)
- ½ð±Ò: 665
- É¢½ð: 40
- Ìû×Ó: 362
- ÔÚÏß: 202.2Сʱ
- ³æºÅ: 1329469
- ×¢²á: 2011-06-23
- ÐÔ±ð: MM
- רҵ: ÄÜÔ´»¯¹¤

4Â¥2013-07-16 15:04:33
qiuzhileizou
гæ (³õÈëÎÄ̳)
- Ó¦Öú: 0 (Ó×¶ùÔ°)
- ½ð±Ò: 50.5
- ºì»¨: 1
- Ìû×Ó: 45
- ÔÚÏß: 29.9Сʱ
- ³æºÅ: 1689532
- ×¢²á: 2012-03-14
- רҵ: ÆäËûÎÞ»ú·Ç½ðÊô²ÄÁÏ
5Â¥2013-12-21 19:48:21
|
±¾ÌûÄÚÈݱ»ÆÁ±Î |
6Â¥2015-05-01 15:27:33
gxytju2008
ר¼Ò¹ËÎÊ (ÎÄ̳¾«Ó¢)
-

ר¼Ò¾Ñé: +1654 - Ó¦Öú: 4105 (¸±½ÌÊÚ)
- ¹ó±ö: 0.053
- ½ð±Ò: 47525.7
- É¢½ð: 4089
- ºì»¨: 503
- Ìû×Ó: 14997
- ÔÚÏß: 7315.2Сʱ
- ³æºÅ: 1111232
- ×¢²á: 2010-09-29
- ÐÔ±ð: GG
- רҵ: ²ÄÁÏÎïÀí»¯Ñ§
- ¹ÜϽ: ΢Ã׺ÍÄÉÃ×
7Â¥2015-05-01 17:11:22













»Ø¸´´ËÂ¥