| ²é¿´: 518 | »Ø¸´: 1 | |
yanjiucha½ð³æ (СÓÐÃûÆø)
|
[ÇóÖú]
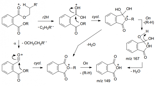
ÖÊÆ×ÁѽâͼÖеÄcycl. Ôõô½âÊͺÍÀí½â£¬Ó¦Ôõô·Ò룿£¡
|
![]() |
|
|
|
|
¶¡¶¡jj½ð³æ (СÓÐÃûÆø)
|
|
|
2Â¥2013-07-11 19:49:13
|
|













»Ø¸´´ËÂ¥