| 查看: 1129 | 回复: 9 | |
ichoyjx铜虫 (小有名气)
|
[求助]
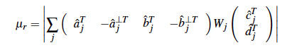
如何理解这个计算距离的公式?[不是问作业,同学问我,我也不知道]
|
|
|
|
aaron1988木虫 (正式写手)
|
|
|
2楼2013-07-03 10:12:37
|
|
ichoyjx铜虫 (小有名气)
|
|
|
3楼2013-07-03 10:13:41
|
|
ichoyjx铜虫 (小有名气)
|
|
|
4楼2013-07-03 10:14:39
|
|
aaron1988木虫 (正式写手)
|
|
|
5楼2013-07-03 10:17:01
|
|
ichoyjx铜虫 (小有名气)
|
|
|
6楼2013-07-03 10:17:14
|
|
ichoyjx铜虫 (小有名气)
|
|
|
7楼2013-07-03 10:20:08
|
|
aaron1988木虫 (正式写手)
|
|
|
8楼2013-07-03 10:20:29
|
|
ichoyjx铜虫 (小有名气)
|
|
|
9楼2013-07-03 10:33:30
|
|
![]() |
|
|
10楼2013-07-03 12:21:21
|
|













回复此楼


20