24小时热门版块排行榜    

北京石油化工学院2026年研究生招生接收调剂公告
查看: 687  |  回复: 0

aiecho

管理员

优秀!!有木有!!!优秀!!有木有!!!优秀!!有木有!!!优秀!!有木有!!!

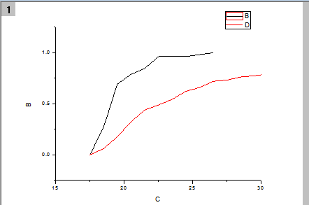
[求助] 请教各位前辈EPSC幅值图

请教各位前辈,为什么我做的EPSC幅值图会出现这种情况呢?着急,就是找不出原因
请教各位前辈EPSC幅值图
aa.png
回复此楼

» 猜你喜欢

已阅   回复此楼   关注TA 给TA发消息 送TA红花 TA的回帖
相关版块跳转 我要订阅楼主 aiecho 的主题更新
最具人气热帖推荐 [查看全部] 作者 回/看 最后发表
[考研] 材料专硕322分 +6 哈哈哈吼吼吼哈 2026-04-01 6/300 2026-04-01 19:31 by zhouyuwinner
[考研] 342求调剂 +10 Mary Keen 2026-03-28 11/550 2026-04-01 17:24 by xhai2011
[考研] 求调剂 +4 图鉴212 2026-03-30 5/250 2026-04-01 15:32 by 图鉴212
[考研] 一志愿郑大085600,310分求调剂 +6 李潇可 2026-03-26 6/300 2026-04-01 14:44 by chenqifeng666
[考研] 311求调剂 +10 李芷新1 2026-03-31 10/500 2026-04-01 14:38 by chenqifeng666
[考研] 材料科学与工程调剂 +15 深V宿舍吧 2026-03-30 16/800 2026-04-01 14:37 by ZXlzxl0425
[考研] 070300化学279求调剂 +12 哈哈哈^_^ 2026-03-31 14/700 2026-04-01 11:11 by chemdavid
[考研] 070300求调剂306分 +5 26要上岸 2026-03-27 5/250 2026-04-01 11:09 by oooqiao
[考研] 初试301,代码085701环境工程,本硕一致,四六级已过,有二区一作,共发表5篇论文 +3 axibli 2026-04-01 3/150 2026-04-01 08:43 by i_cooler
[教师之家] 张雪峰戛然而止的飞驰人生 +3 yexuqing 2026-03-26 4/200 2026-04-01 08:20 by 湖心亭看雪
[考研] 一志愿a区211,085601-307分求调剂 +10 党嘉豪 2026-03-31 23/1150 2026-03-31 18:44 by JourneyLucky
[考研] 299求调剂 +8 嗯嗯嗯嗯2 2026-03-27 8/400 2026-03-31 18:23 by lizhi8172
[考研] 262求调剂 +7 ZZ..000 2026-03-30 8/400 2026-03-31 10:05 by cal0306
[考研] 085600材料与化工调剂 +16 kikiki7 2026-03-30 16/800 2026-03-31 10:03 by 氯化亚硝酰
[考研] 279求调剂 +12 j的立方 2026-03-29 12/600 2026-03-30 20:30 by dick_runner
[考研] 105500药学求调剂,一志愿山东大学药学,348分 +3 gr哈哈哈 2026-03-28 3/150 2026-03-30 18:56 by 源_2020
[考研] 329求调剂 +8 星野? 2026-03-26 8/400 2026-03-30 13:41 by chemdavid
[考研] 266求调剂 +11 阳阳哇塞 2026-03-27 12/600 2026-03-27 17:56 by yu221
[考研] 调剂求收留 +7 果然有我 2026-03-26 7/350 2026-03-27 00:26 by wxiongid
[考研] 321求调剂 +6 wasdssaa 2026-03-26 6/300 2026-03-26 20:57 by sanrepian
信息提示
请填处理意见