| ²é¿´: 800 | »Ø¸´: 1 | ||
Ô¬Ö¦Ó±½ð³æ (СÓÐÃûÆø)
|
[ÇóÖú]
²î·ÖÂö³å·ü°²·¨µÃ³ö¼ì³öÏÞ
|
|
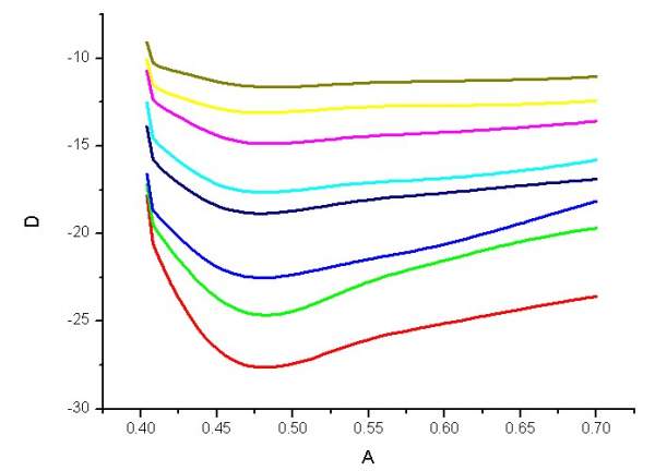
ÏÂÃæÊÇÎÒÓòî·ÖÂö³å·ü°²·¨µÃµ½µÄ²»Í¬Å¨¶ÈµÄ²î·ÖÂö³åÇúÏߣ¬ÎªÊ²Ã´·åÐÍÒ»µã¶¼²»¼âÈñÄØ£¬¿´ÆðÀ´¹Ö¹ÖµÄ£¬ÊDz»ÊÇ×Ý×ø±êÉèµÄÓÐÎÊÌ⣬Âé·³ÓÐ×ö¹ýµÄ¸øÎÒ½²½²¹þ£¬Ð»Ð»°¡ _QUQZC{F73CT4%WL3~I8N~J.jpg |
» ²ÂÄãϲ»¶
070300Ò»Ö¾Ô¸211£¬312·ÖÇóµ÷¼ÁԺУ
ÒѾÓÐ14È˻ظ´
26Äê´¢ÄÜ¡¢µç³Ø·½Ïò²©Ê¿ÉêÇë
ÒѾÓÐ2È˻ظ´
ÎïÀí»¯Ñ§ÂÛÎÄÈóÉ«/·ÒëÔõôÊÕ·Ñ?
ÒѾÓÐ59È˻ظ´
070300»¯Ñ§Çóµ÷¼Á
ÒѾÓÐ13È˻ظ´
Çൺ´óѧ»¯Ñ§»¯¹¤Ñ§Ôº2026ÄêÕÐÊÕµ÷¼Á˶ʿÑо¿Éú
ÒѾÓÐ0È˻ظ´
±±·½¹¤Òµ´óѧ085808´¢Äܼ¼Êõ-02·½Ïò£¨µç³Ø£©½ÓÊÕµ÷¼ÁÉú
ÒѾÓÐ0È˻ظ´
272Çóµ÷¼Á£¬½ÓÊÜ¿çרҵµ÷¼Á£¡
ÒѾÓÐ3È˻ظ´
ÓÐÒ»ÇøTOPÂÛÎÄ£¬Çóµ÷¼Á
ÒѾÓÐ22È˻ظ´
´óÁ¬¹¤Òµ´óѧ½ÜÇà/³¤½ÍŶÓ-ÉúÎïÖʲÄÁÏ-´¢ÄÜµç³Ø·½ÏòÕÐÊÕ2026¼¶²©Ê¿Éú
ÒѾÓÐ14È˻ظ´
2026¹óÖÝ´óѧ²©Ê¿ÕÐÉú
ÒѾÓÐ0È˻ظ´
Çൺ´óѧ»¯Ñ§»¯¹¤Ñ§Ôº2026ÄêÕÐÊÕµ÷¼Á˶ʿÑо¿Éú
ÒѾÓÐ0È˻ظ´
jijianjndx
Òø³æ (СÓÐÃûÆø)
- Ó¦Öú: 27 (СѧÉú)
- ½ð±Ò: 199.2
- É¢½ð: 38
- ºì»¨: 1
- Ìû×Ó: 167
- ÔÚÏß: 36.8Сʱ
- ³æºÅ: 1417990
- ×¢²á: 2011-09-26
- ÐÔ±ð: GG
- רҵ: µç»¯Ñ§·ÖÎö

2Â¥2013-06-25 15:20:06














»Ø¸´´ËÂ¥
10