版块导航
正在加载中...
客户端APP下载
论文辅导
申博辅导
登录
注册
帖子
帖子
用户
本版
应《网络安全法》要求,自2017年10月1日起,未进行实名认证将不得使用互联网跟帖服务。为保障您的帐号能够正常使用,请尽快对帐号进行手机号验证,感谢您的理解与支持!
24小时热门版块排行榜
>
论坛更新日志
(563)
>
考博
(30)
>
硕博家园
(26)
>
找工作
(21)
>
公派出国
(18)
>
博后之家
(15)
>
休闲灌水
(14)
>
论文道贺祈福
(12)
>
虫友互识
(11)
>
基金申请
(10)
>
导师招生
(9)
>
论文投稿
(9)
>
考研
(8)
>
教师之家
(7)
>
招聘信息布告栏
(6)
>
有机交流
(2)
小木虫论坛-学术科研互动平台
»
专业学科区
»
数学
»
计算数学
»
跪求详细解答
5
1/1
返回列表
查看: 862 | 回复: 4
只看楼主
@他人
存档
新回复提醒
(忽略)
收藏
在APP中查看
yashe
新虫
(初入文坛)
应助: 0
(幼儿园)
金币: 560.3
散金: 5
帖子: 14
在线: 1.8小时
虫号: 2320509
注册: 2013-03-05
[
求助
]
跪求详细解答
ln(3/3-(x+y))求导
[ 发自手机版 http://muchong.com/3g ]
回复此楼
» 猜你喜欢
计算机、0854电子信息(085401-058412)调剂
已经有5人回复
国自然申请面上模板最新2026版出了吗?
已经有13人回复
基金委咋了?2026年的指南还没有出来?
已经有3人回复
Materials Today Chemistry审稿周期
已经有5人回复
溴的反应液脱色
已经有7人回复
推荐一本书
已经有12人回复
基金申报
已经有4人回复
纳米粒子粒径的测量
已经有7人回复
常年博士招收(双一流,工科)
已经有4人回复
有没有人能给点建议
已经有5人回复
» 本主题相关价值贴推荐,对您同样有帮助:
求中国海洋大学材料研究院物理化学期末试题及答案
已经有9人回复
求详解益赛普的作用副作用及临床研究
已经有4人回复
凝胶聚电解质交流阻抗等效电路模型求助以及解释
已经有4人回复
合肥京东方和江淮哪个比较好?求给详细解答,采取奖励金币。。。
已经有13人回复
求详细解释如果不解释不予发放 谢谢
已经有5人回复
阿伦尼乌斯公式求速率常数K
已经有5人回复
求解释,Rf值变化的原因及产品是否发生变化
已经有12人回复
跪求各位大神解答~本人高三学生 高考想考建筑学 求各位大神帮忙解答一下
已经有9人回复
关于液接电势的问题,求大家详细的解释下。
已经有4人回复
μL/mL是什么意思,求详细解释,谢谢
已经有10人回复
求晶体解析软件
已经有14人回复
申请phd中的困惑,跪求解答
已经有13人回复
求问:解读NCBI 保守结构域分析结果
已经有11人回复
什么是模板效应?求助详细解释?
已经有9人回复
再次求中国矿业大学北京历年英语真题 及解析答案答案
已经有7人回复
【求助】NOESY谱图处理及解析(帮忙分析结构是否正确,并说明原因)正解后追加金币50
已经有18人回复
【求助】求中科院历年高等数学甲真题及答案
已经有8人回复
求助固体废物处理工程的试卷及答案
已经有6人回复
1楼
2013-06-22 19:38:39
已阅
回复此楼
关注TA
给TA发消息
送TA红花
TA的回帖
wangefang
银虫
(小有名气)
应助: 23
(小学生)
金币: 412.2
红花: 2
帖子: 130
在线: 28.3小时
虫号: 2492025
注册: 2013-06-01
性别: GG
专业: 几何学
【答案】应助回帖
感谢参与,应助指数 +1
看图片
dervsimple.PNG
赞
一下
回复此楼
Themorewedo,themorewecando.
2楼
2013-06-22 22:09:09
已阅
回复此楼
关注TA
给TA发消息
送TA红花
TA的回帖
wyydxs
新虫
(正式写手)
应助: 15
(小学生)
金币: 4751.4
散金: 2
红花: 1
帖子: 312
在线: 74.5小时
虫号: 2213502
注册: 2012-12-29
专业: 数论
看图片
1371954278957.jpg
赞
一下
(1人)
回复此楼
3楼
2013-06-23 10:31:42
已阅
回复此楼
关注TA
给TA发消息
送TA红花
TA的回帖
wangefang
银虫
(小有名气)
应助: 23
(小学生)
金币: 412.2
红花: 2
帖子: 130
在线: 28.3小时
虫号: 2492025
注册: 2013-06-01
性别: GG
专业: 几何学
引用回帖:
2楼
:
Originally posted by
wangefang
at 2013-06-22 22:09:09
看图片
dervsimple.PNG
哦, 算错了. 太丢人了. 还不能删除.
赞
一下
(1人)
回复此楼
Themorewedo,themorewecando.
4楼
2013-06-23 10:37:23
已阅
回复此楼
关注TA
给TA发消息
送TA红花
TA的回帖
wangefang
银虫
(小有名气)
应助: 23
(小学生)
金币: 412.2
红花: 2
帖子: 130
在线: 28.3小时
虫号: 2492025
注册: 2013-06-01
性别: GG
专业: 几何学
【答案】应助回帖
引用回帖:
4楼
:
Originally posted by
wangefang
at 2013-06-23 10:37:23
哦, 算错了. 太丢人了. 还不能删除....
亡羊补牢啊!
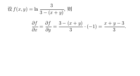
如果已知条件是
, 那么详细的求导如3楼所示.
如果已知条件是
,那么计算如下图.
apd.PNG
赞
一下
(2人)
回复此楼
Themorewedo,themorewecando.
5楼
2013-06-23 17:02:10
已阅
回复此楼
关注TA
给TA发消息
送TA红花
TA的回帖
相关版块跳转
数理科学综合
机械
物理
数学
农林
食品
地学
能源
信息科学
土木建筑
航空航天
转基因
我要订阅楼主
yashe
的主题更新
5
1/1
返回列表
如果回帖内容含有宣传信息,请如实选中。否则帐号将被全论坛禁言
普通表情
龙
兔
虎
猫
百度网盘
|
360云盘
|
千易网盘
|
华为网盘
在新窗口页面中打开自己喜欢的网盘网站,将文件上传后,然后将下载链接复制到帖子内容中就可以了。
信息提示
关闭
请填处理意见
关闭
确定