| 查看: 5610 | 回复: 30 | |||
| 当前只显示满足指定条件的回帖,点击这里查看本话题的所有回帖 | |||
sciencejoy新虫 (著名写手)
|
[交流]
角动量与角速度一般不在同一方向 已有8人参与
|
||
|
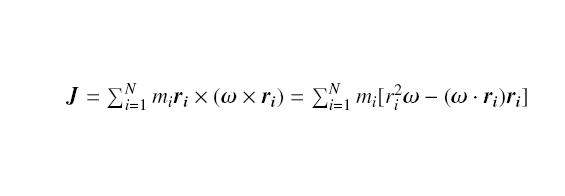
角动量与角速度关系为 所以,角动量与角速度一般不在同一方向 |
» 猜你喜欢
今年春晚有几个节目很不错,点赞!
已经有4人回复
球磨粉体时遇到了大的问题,请指教!
已经有15人回复
过年走亲戚时感受到了所开私家车的鄙视链
已经有5人回复
情人节自我反思:在爱情中有过遗憾吗?
已经有5人回复
江汉大学解明教授课题组招博士研究生/博士后
已经有3人回复
hsdwlxhx
金虫 (正式写手)
- 应助: 20 (小学生)
- 金币: 2986.8
- 散金: 204
- 红花: 6
- 帖子: 430
- 在线: 318.5小时
- 虫号: 1537165
- 注册: 2011-12-14
- 性别: GG
- 专业: 配位化学

25楼2013-06-22 13:43:48
janecool
铁杆木虫 (著名写手)
- 物理EPI: 1
- 应助: 54 (初中生)
- 贵宾: 0.006
- 金币: 5996.2
- 散金: 342
- 红花: 12
- 帖子: 2070
- 在线: 626.6小时
- 虫号: 830148
- 注册: 2009-08-18
- 性别: GG
- 专业: 粒子物理学和场论

2楼2013-06-19 14:59:47
sciencejoy
新虫 (著名写手)
- 应助: 436 (硕士)
- 金币: 11205.3
- 红花: 89
- 帖子: 2974
- 在线: 498小时
- 虫号: 802149
- 注册: 2009-07-02
- 性别: GG
- 专业: 高分子物理与高分子物理化
3楼2013-06-19 15:19:20
4楼2013-06-19 15:47:02













回复此楼