| 查看: 2516 | 回复: 3 | |||
[求助]
有关CMSG应变梯度理论的实现
|
|
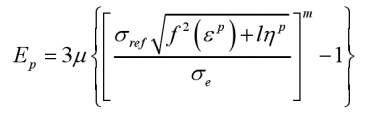
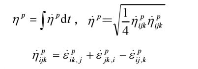
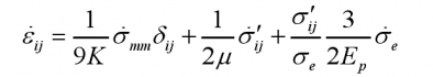
最近开始做UMAT涉及到CMSG理论,本构方程如下: 跟经典J2流动理论相比,相当于塑性模量发生了变化: 因此在编写UMAT的时候,需要增加一项等效塑性应变梯度,计算方法为 看了很多文章,在UMAT里面可以通过这样来实现: 根据同一个单元内部各个积分点上的塑性应变增量 ,通过形函数和差分得到等效应变梯度的增量,再累加形成总的等效应变梯度。 这个有限元的实现过程不是很懂,征求高手们提一些建议。 |
» 收录本帖的淘帖专辑推荐
金属力学性能 |
» 猜你喜欢
292分,材料与化工,申请调剂
已经有13人回复
316求调剂
已经有7人回复
材料专硕322分
已经有4人回复
286分调剂
已经有16人回复
337求调剂
已经有8人回复
一志愿北交大材料工程总分358
已经有7人回复
362求调剂
已经有13人回复
332求调剂
已经有7人回复
342求调剂
已经有11人回复
319求调剂
已经有4人回复
» 本主题相关价值贴推荐,对您同样有帮助:
【请教】关于尺度效应 表面效应 量子效应 应变塑性梯度理论
已经有6人回复
小小鸟人
管理员
![]()
![]()
![]()
![]()
- 应助: 6 (幼儿园)
- 金币: 27.8
- 散金: 220
- 红花: 7
- 帖子: 826
- 在线: 469.6小时
- 虫号: 1762175
- 注册: 2012-04-18
- 性别: GG
- 专业: 金属材料的力学行为

2楼2016-07-05 17:14:50
3楼2018-04-02 20:37:51
破阵子123
新虫
- 应助: 0 (幼儿园)
- 金币: 150.5
- 散金: 23
- 红花: 1
- 帖子: 52
- 在线: 20.6小时
- 虫号: 3362534
- 注册: 2014-08-12
- 性别: GG
- 专业: 金属材料的力学行为

4楼2018-10-05 22:29:44














回复此楼