| 查看: 576 | 回复: 1 | |
songdaofeng银虫 (著名写手)
|
[求助]
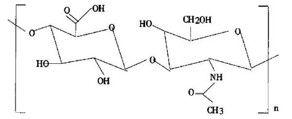
透明质酸酶能否降级降解β-1,3-glucan
|
|
|
|
|
2楼2014-09-08 10:17:28
|
|













回复此楼